🇳🇴 🇬🇧 🇩🇪 🇨🇿 🇫🇮

Meteor, poloha: Ă…sbro 2024-11-01 18:26:57 UTC

Soubor KML  |  InteraktivnĂ­ mapa

Mapa zobrazuje dráhy meteoru. Světlejší čáry ukazují směry od pozorovacích stanic při objevení se meteoru a tmavší čáry, kde byl naposledy viděn. Modrá šipka značí viditelnou dráhu meteoru.

static map
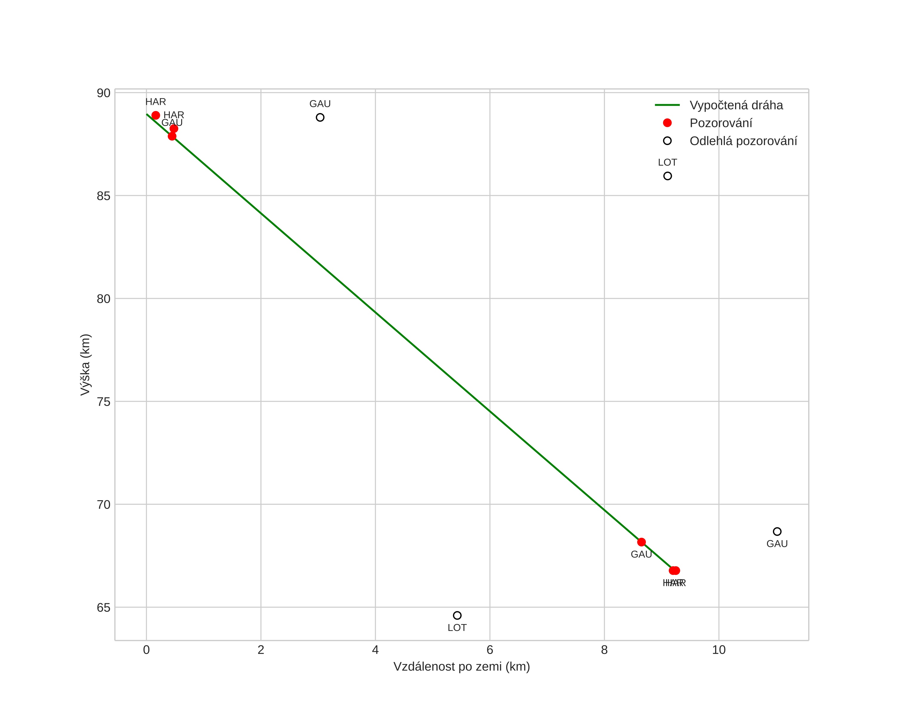
height profile
Atmosférická dráha meteoru:
Počáteční výška: 89,0 km
Konečná výška: 65,8 km
Počáteční poloha: 58,998N 15,119E
Konečná poloha: 58,911N 15,087E
Směr: 190,8°
Sklon: 67,0°
VstupnĂ­ rychlost: 36,2 km/s
Rektascenze radiantu: 23:56 (359,1°)
Deklinace radiantu: 81,0°
MeteorickĂ˝ roj: sporadickĂ˝
Elementy dráhy meteoroidu:
Vzdálenost v periheliu: 0,884 AU
Excentricita: 0,896
Sklon dráhy: 53,6°
Délka vzestupného uzlu: 219,5°
Argument perihelia: 219,7°
Střední anomálie: 358,9°
Epocha: 2024 NOV 01 18:26:57
orbit plot

NeinteraktivnĂ­ graf | InteraktivnĂ­ graf

position vs time
speed and acceleration