🇳🇴 🇬🇧 🇩🇪 🇨🇿 🇫🇮

Meteor, poloha: Rjukan 2024-11-01 19:29:25 UTC

Soubor KML  |  InteraktivnĂ­ mapa

Mapa zobrazuje dráhy meteoru. Světlejší čáry ukazují směry od pozorovacích stanic při objevení se meteoru a tmavší čáry, kde byl naposledy viděn. Modrá šipka značí viditelnou dráhu meteoru.

static map
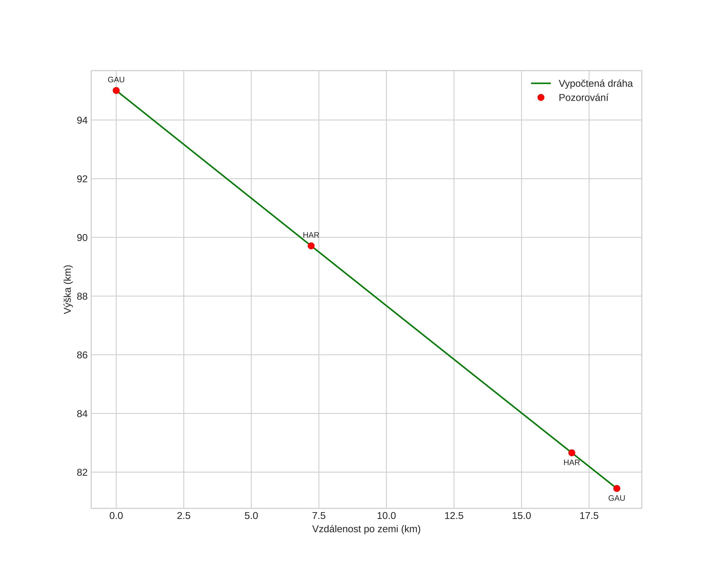
height profile
Atmosférická dráha meteoru:
Počáteční výška: 95,0 km
Konečná výška: 81,4 km
Počáteční poloha: 60,096N 8,810E
Konečná poloha: 60,133N 8,484E
Směr: 282,9°
Sklon: 36,3°
VstupnĂ­ rychlost: 25,5 km/s
Rektascenze radiantu: 02:55 (43,9°)
Deklinace radiantu: 22,5°
MeteorickĂ˝ roj: SevernĂ­ Tauridy
Elementy dráhy meteoroidu:
Vzdálenost v periheliu: 0,465 AU
Excentricita: 0,712
Sklon dráhy: 4,7°
Délka vzestupného uzlu: 219,5°
Argument perihelia: 286,2°
Střední anomálie: 337,1°
Epocha: 2024 NOV 01 19:29:25
orbit plot

NeinteraktivnĂ­ graf | InteraktivnĂ­ graf

position vs time
speed and acceleration