🇳🇴 🇬🇧 🇩🇪 🇨🇿 🇫🇮

Meteor, poloha: Geilo 2024-11-01 20:00:41 UTC

Soubor KML  |  InteraktivnĂ­ mapa

Mapa zobrazuje dráhy meteoru. Světlejší čáry ukazují směry od pozorovacích stanic při objevení se meteoru a tmavší čáry, kde byl naposledy viděn. Modrá šipka značí viditelnou dráhu meteoru.

static map
height profile
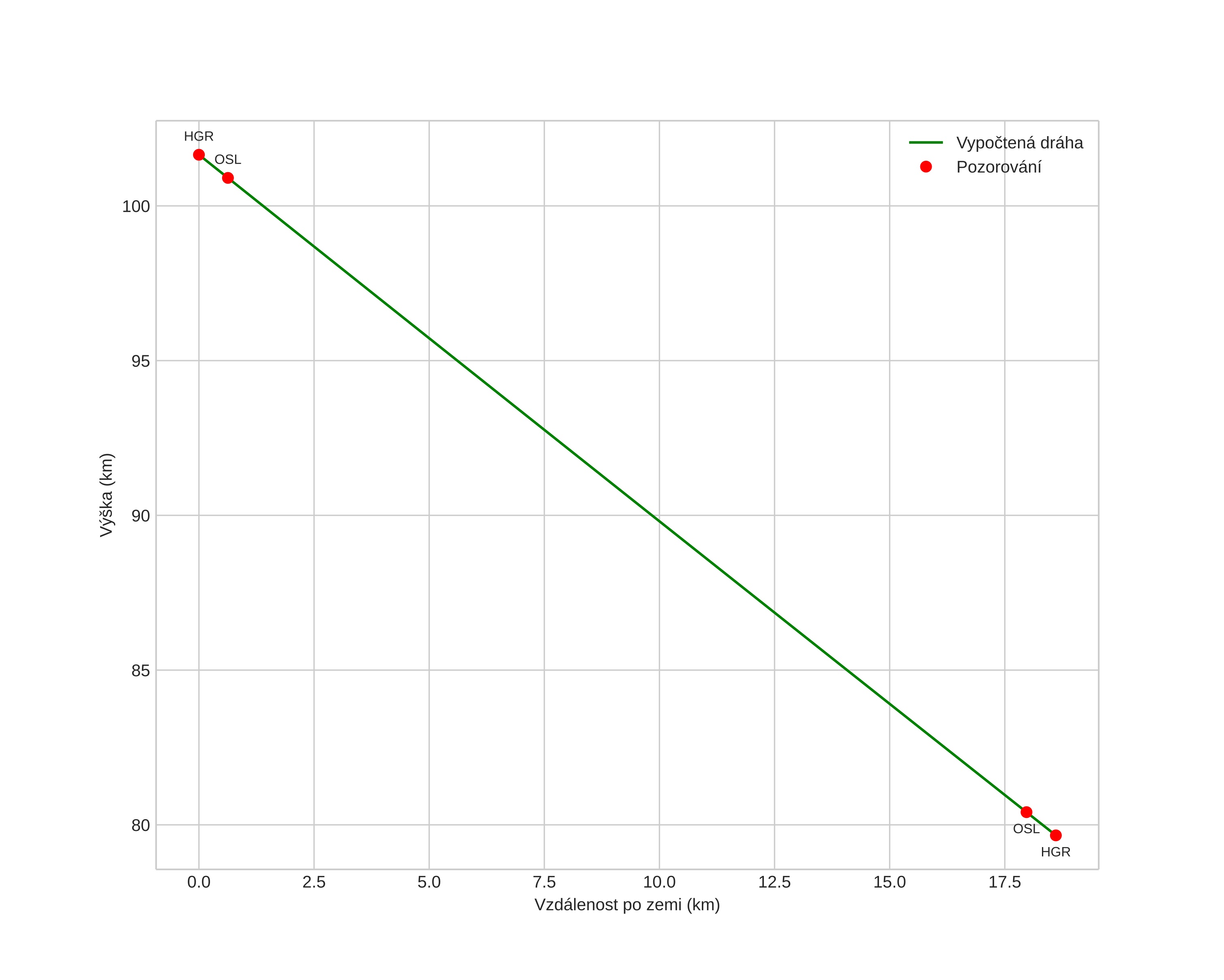
Atmosférická dráha meteoru:
Počáteční výška: 101,8 km
Konečná výška: 79,6 km
Počáteční poloha: 60,556N 7,577E
Konečná poloha: 60,402N 7,702E
Směr: 158,2°
Sklon: 50,1°
VstupnĂ­ rychlost: 41,1 km/s
Rektascenze radiantu: 15:10 (227,7°)
Deklinace radiantu: 73,2°
MeteorickĂ˝ roj: sporadickĂ˝
Elementy dráhy meteoroidu:
Vzdálenost v periheliu: 0,992 AU
Excentricita: 1,053
Sklon dráhy: 63,0°
Délka vzestupného uzlu: 219,5°
Argument perihelia: 177,8°
Střední anomálie: 0,0°
Epocha: 2024 NOV 01 20:00:41
orbit plot

NeinteraktivnĂ­ graf | InteraktivnĂ­ graf

position vs time
speed and acceleration