🇳🇴 🇬🇧 🇩🇪 🇨🇿 🇫🇮

Meteor, poloha: Hovden 2024-11-01 20:35:26 UTC

Soubor KML  |  InteraktivnĂ­ mapa

Mapa zobrazuje dráhy meteoru. Světlejší čáry ukazují směry od pozorovacích stanic při objevení se meteoru a tmavší čáry, kde byl naposledy viděn. Modrá šipka značí viditelnou dráhu meteoru.

static map
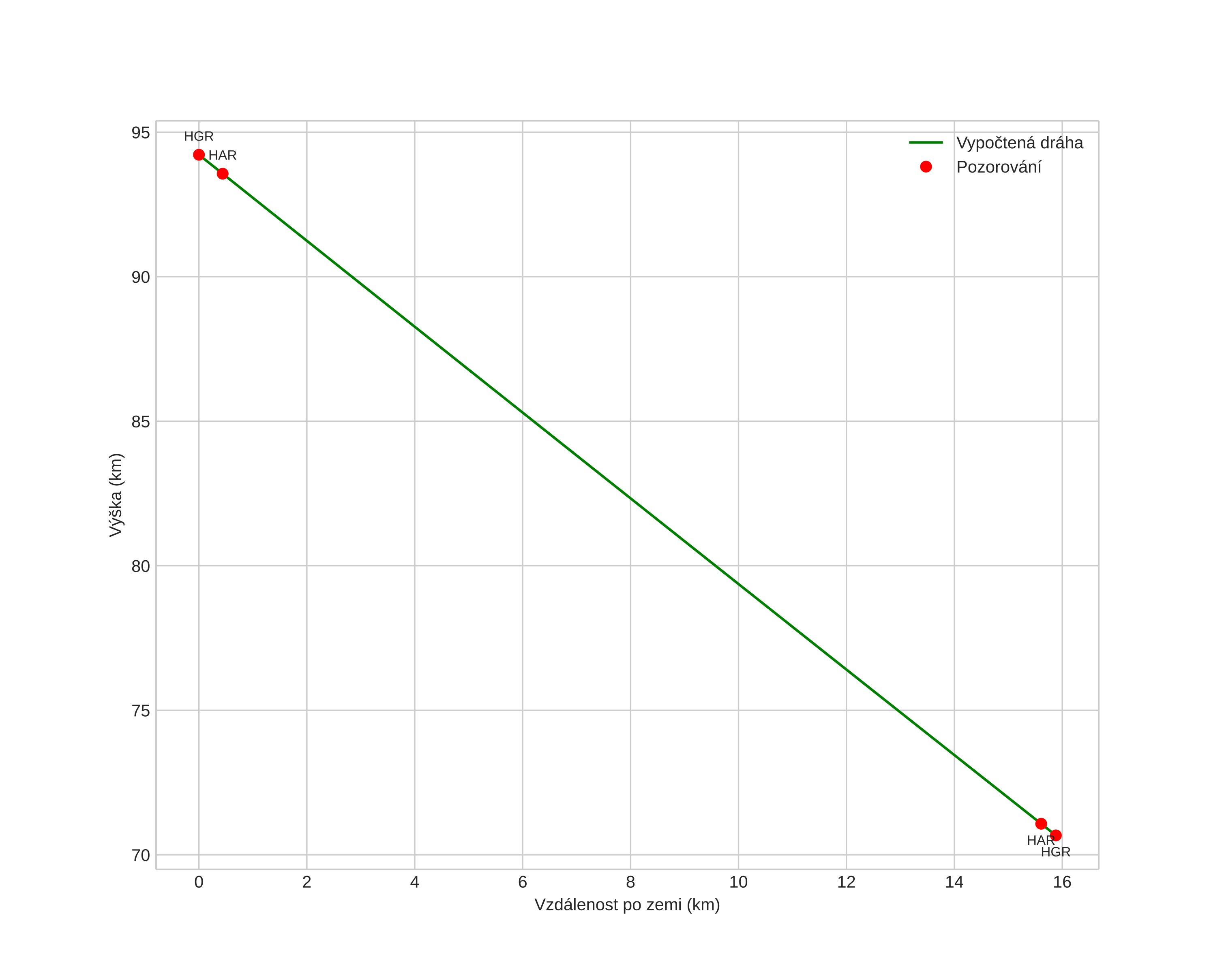
height profile
Atmosférická dráha meteoru:
Počáteční výška: 95,0 km
Konečná výška: 70,7 km
Počáteční poloha: 59,993N 7,208E
Konečná poloha: 59,952N 7,512E
Směr: 105,0°
Sklon: 54,2°
VstupnĂ­ rychlost: 23,7 km/s
Rektascenze radiantu: 19:21 (290,5°)
Deklinace radiantu: 49,0°
MeteorickĂ˝ roj: sporadickĂ˝
Elementy dráhy meteoroidu:
Vzdálenost v periheliu: 0,992 AU
Excentricita: 1,001
Sklon dráhy: 27,9°
Délka vzestupného uzlu: 219,6°
Argument perihelia: 181,7°
Střední anomálie: -0,0°
Epocha: 2024 NOV 01 20:35:26
orbit plot

NeinteraktivnĂ­ graf | InteraktivnĂ­ graf

position vs time
speed and acceleration