🇳🇴 🇬🇧 🇩🇪 🇨🇿 🇫🇮

Meteor, poloha: Trøim 2024-11-01 22:29:51 UTC

Soubor KML  |  InteraktivnĂ­ mapa

Mapa zobrazuje dráhy meteoru. Světlejší čáry ukazují směry od pozorovacích stanic při objevení se meteoru a tmavší čáry, kde byl naposledy viděn. Modrá šipka značí viditelnou dráhu meteoru.

static map
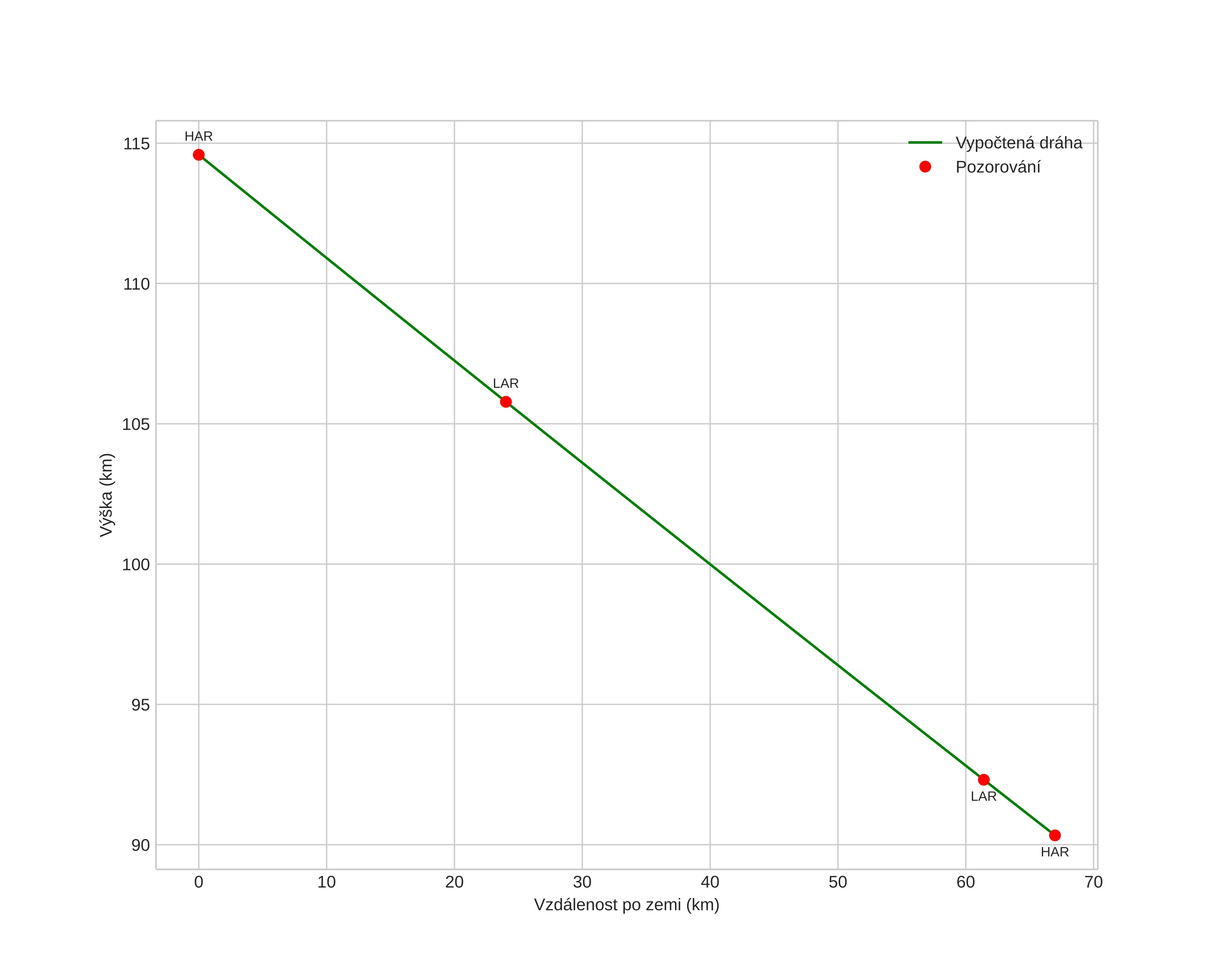
height profile
Atmosférická dráha meteoru:
Počáteční výška: 111,7 km
Konečná výška: 92,2 km
Počáteční poloha: 60,927N 9,678E
Konečná poloha: 60,949N 8,686E
Směr: 273,0°
Sklon: 20,0°
VstupnĂ­ rychlost: 67,6 km/s
Rektascenze radiantu: 07:04 (106,1°)
Deklinace radiantu: 15,5°
MeteorickĂ˝ roj: Orionidy
Elementy dráhy meteoroidu:
Vzdálenost v periheliu: 0,554 AU
Excentricita: 0,964
Sklon dráhy: 164,9°
Délka vzestupného uzlu: 39,6°
Argument perihelia: 84,2°
Střední anomálie: 359,4°
Epocha: 2024 NOV 01 22:29:51
orbit plot

NeinteraktivnĂ­ graf | InteraktivnĂ­ graf

position vs time
speed and acceleration