🇳🇴 🇬🇧 🇩🇪 🇨🇿 🇫🇮

Meteor, poloha: Rollag 2024-11-02 00:12:48 UTC

Soubor KML  |  InteraktivnĂ­ mapa

Mapa zobrazuje dráhy meteoru. Světlejší čáry ukazují směry od pozorovacích stanic při objevení se meteoru a tmavší čáry, kde byl naposledy viděn. Modrá šipka značí viditelnou dráhu meteoru.

static map
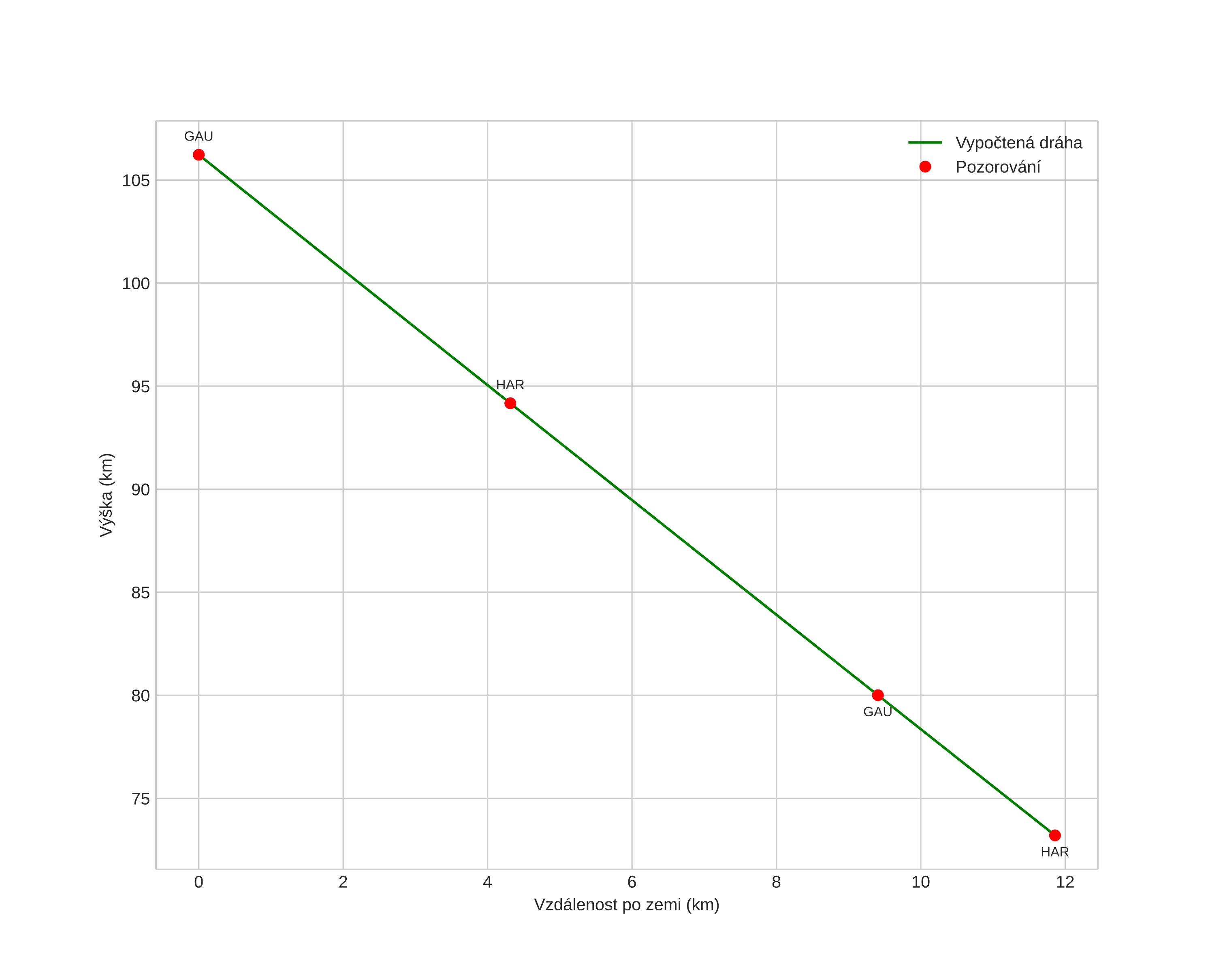
height profile
Atmosférická dráha meteoru:
Počáteční výška: 106,2 km
Konečná výška: 72,9 km
Počáteční poloha: 60,191N 9,075E
Konečná poloha: 60,112N 9,220E
Směr: 137,3°
Sklon: 70,4°
VstupnĂ­ rychlost: 36,3 km/s
Rektascenze radiantu: 00:38 (9,7°)
Deklinace radiantu: 69,6°
MeteorickĂ˝ roj: sporadickĂ˝
Elementy dráhy meteoroidu:
Vzdálenost v periheliu: 0,810 AU
Excentricita: 1,092
Sklon dráhy: 47,8°
Délka vzestupného uzlu: 219,7°
Argument perihelia: 229,6°
Střední anomálie: -1,1°
Epocha: 2024 NOV 02 00:12:48
orbit plot

NeinteraktivnĂ­ graf | InteraktivnĂ­ graf

position vs time
speed and acceleration