🇳🇴 🇬🇧 🇩🇪 🇨🇿 🇫🇮

Meteor, poloha: Prestestranda 2024-11-02 01:05:26 UTC

Soubor KML  |  InteraktivnĂ­ mapa

Mapa zobrazuje dráhy meteoru. Světlejší čáry ukazují směry od pozorovacích stanic při objevení se meteoru a tmavší čáry, kde byl naposledy viděn. Modrá šipka značí viditelnou dráhu meteoru.

static map
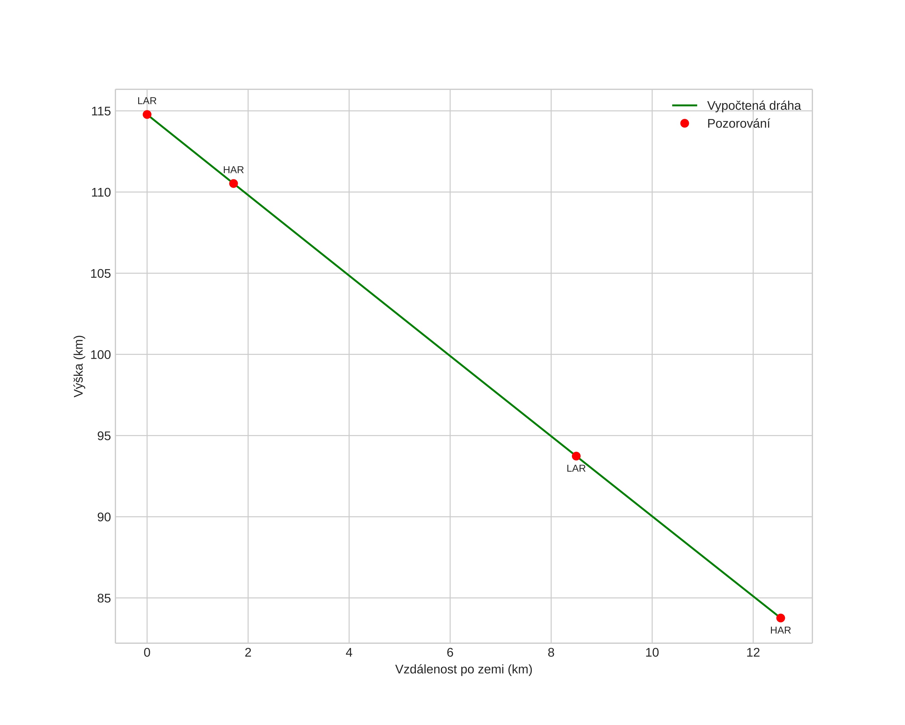
height profile
Atmosférická dráha meteoru:
Počáteční výška: 114,1 km
Konečná výška: 83,3 km
Počáteční poloha: 59,017N 9,442E
Konečná poloha: 59,064N 9,236E
Směr: 294,0°
Sklon: 67,3°
VstupnĂ­ rychlost: 23,9 km/s
Rektascenze radiantu: 06:30 (97,6°)
Deklinace radiantu: 44,3°
MeteorickĂ˝ roj: sporadickĂ˝
Elementy dráhy meteoroidu:
Vzdálenost v periheliu: 0,155 AU
Excentricita: 0,753
Sklon dráhy: 28,9°
Délka vzestupného uzlu: 219,8°
Argument perihelia: 344,6°
Střední anomálie: 247,2°
Epocha: 2024 NOV 02 01:05:26
orbit plot

NeinteraktivnĂ­ graf | InteraktivnĂ­ graf

position vs time
speed and acceleration