🇳🇴 🇬🇧 🇩🇪 🇨🇿 🇫🇮

Meteor, poloha: Skjervøy 2024-11-03 20:35:11 UTC

Soubor KML  |  InteraktivnĂ­ mapa

Mapa zobrazuje dráhy meteoru. Světlejší čáry ukazují směry od pozorovacích stanic při objevení se meteoru a tmavší čáry, kde byl naposledy viděn. Modrá šipka značí viditelnou dráhu meteoru.

static map
height profile
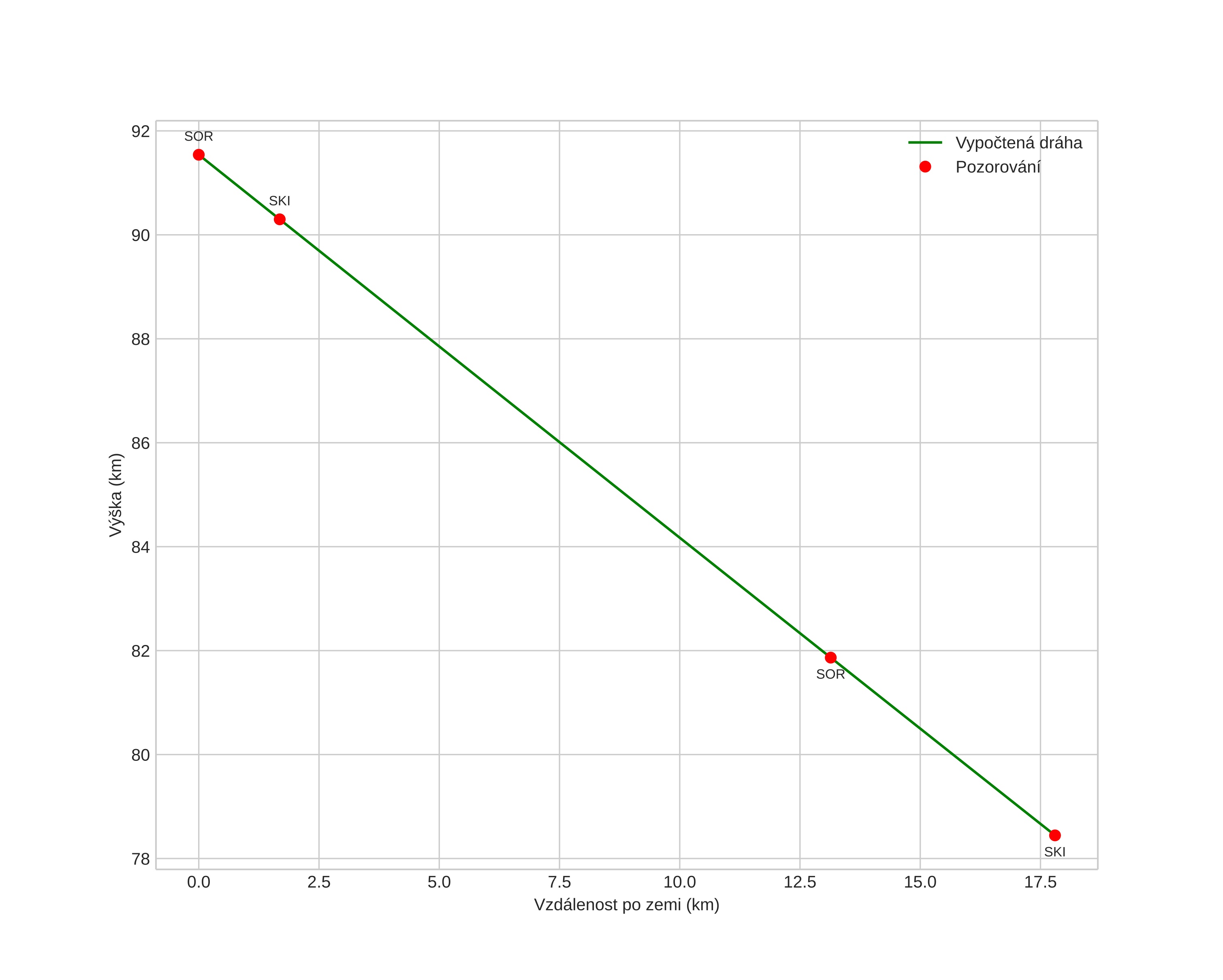
Atmosférická dráha meteoru:
Počáteční výška: 91,7 km
Konečná výška: 78,8 km
Počáteční poloha: 69,898N 20,809E
Konečná poloha: 70,046N 20,624E
Směr: 336,8°
Sklon: 35,8°
VstupnĂ­ rychlost: 22,5 km/s
Rektascenze radiantu: 02:09 (32,4°)
Deklinace radiantu: 12,9°
MeteorickĂ˝ roj: sporadickĂ˝
Elementy dráhy meteoroidu:
Vzdálenost v periheliu: 0,670 AU
Excentricita: 0,738
Sklon dráhy: 0,1°
Délka vzestupného uzlu: 42,9°
Argument perihelia: 75,0°
Střední anomálie: 349,6°
Epocha: 2024 NOV 03 20:35:11
orbit plot

NeinteraktivnĂ­ graf | InteraktivnĂ­ graf

position vs time
speed and acceleration