🇳🇴 🇬🇧 🇩🇪 🇨🇿 🇫🇮

Meteor, poloha: Hovden 2024-11-04 00:28:23 UTC

Soubor KML  |  InteraktivnĂ­ mapa

Mapa zobrazuje dráhy meteoru. Světlejší čáry ukazují směry od pozorovacích stanic při objevení se meteoru a tmavší čáry, kde byl naposledy viděn. Modrá šipka značí viditelnou dráhu meteoru.

static map
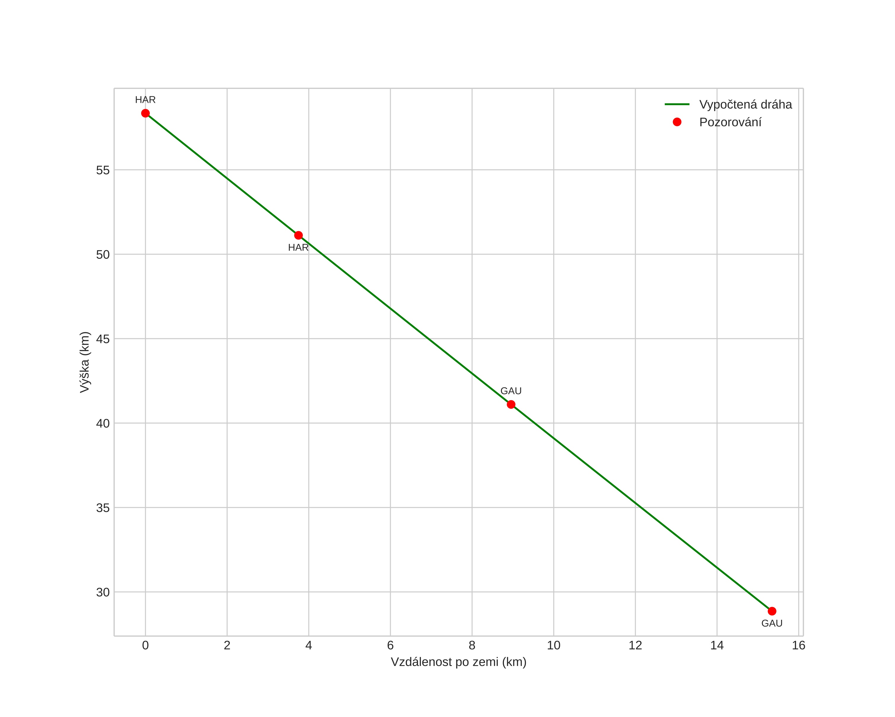
height profile
Atmosférická dráha meteoru:
Počáteční výška: 60,5 km
Konečná výška: 31,3 km
Počáteční poloha: 59,451N 7,001E
Konečná poloha: 59,502N 7,208E
Směr: 64,1°
Sklon: 66,0°
VstupnĂ­ rychlost: 17,8 km/s
Rektascenze radiantu: 01:33 (23,3°)
Deklinace radiantu: 41,2°
MeteorickĂ˝ roj: sporadickĂ˝
Elementy dráhy meteoroidu:
Vzdálenost v periheliu: 0,759 AU
Excentricita: 0,462
Sklon dráhy: 12,4°
Délka vzestupného uzlu: 221,7°
Argument perihelia: 255,2°
Střední anomálie: 330,2°
Epocha: 2024 NOV 04 00:28:23
orbit plot

NeinteraktivnĂ­ graf | InteraktivnĂ­ graf

position vs time
speed and acceleration