🇳🇴 🇬🇧 🇩🇪 🇨🇿 🇫🇮

Meteor, poloha: Ekshärad 2024-11-04 01:03:20 UTC

Soubor KML  |  InteraktivnĂ­ mapa

Mapa zobrazuje dráhy meteoru. Světlejší čáry ukazují směry od pozorovacích stanic při objevení se meteoru a tmavší čáry, kde byl naposledy viděn. Modrá šipka značí viditelnou dráhu meteoru.

static map
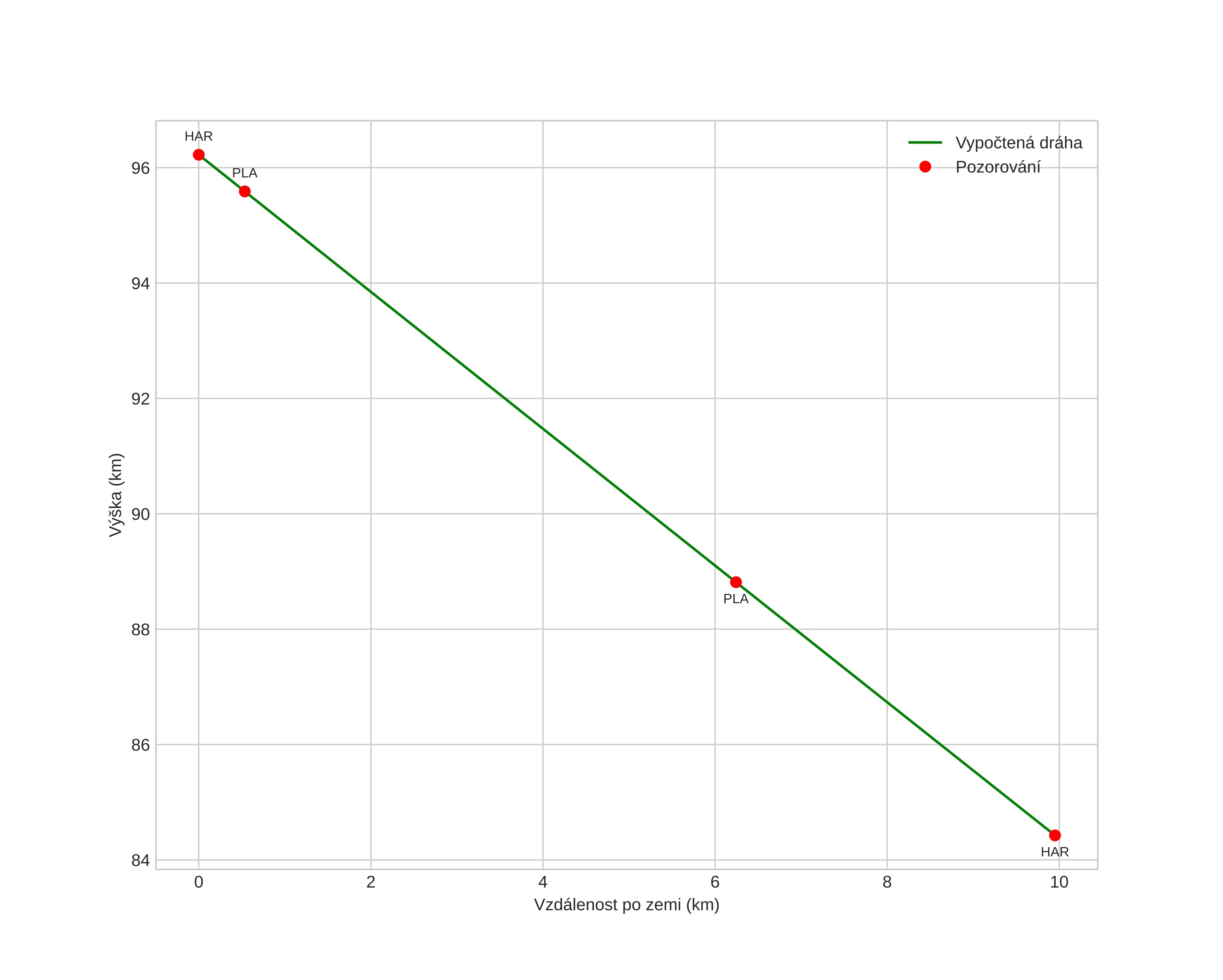
height profile
Atmosférická dráha meteoru:
Počáteční výška: 96,2 km
Konečná výška: 83,3 km
Počáteční poloha: 60,574N 13,323E
Konečná poloha: 60,476N 13,320E
Směr: 180,8°
Sklon: 49,9°
VstupnĂ­ rychlost: 32,1 km/s
Rektascenze radiantu: 16:51 (252,8°)
Deklinace radiantu: 78,1°
MeteorickĂ˝ roj: sporadickĂ˝
Elementy dráhy meteoroidu:
Vzdálenost v periheliu: 0,983 AU
Excentricita: 0,631
Sklon dráhy: 50,6°
Délka vzestupného uzlu: 221,8°
Argument perihelia: 192,6°
Střední anomálie: 357,8°
Epocha: 2024 NOV 04 01:03:20
orbit plot

NeinteraktivnĂ­ graf | InteraktivnĂ­ graf

position vs time
speed and acceleration

Plassen (PLA) cam3

gnomonic
Videa
Obrázky
• Původní
Textové soubory
• Detekce
• Pozorování
• Souřadnice
• Protokol
Jasnost