🇳🇴 🇬🇧 🇩🇪 🇨🇿 🇫🇮

Meteor Grindavíkin yllä 2024-11-04 02:37:53 UTC

KML-tiedosto  |  Interaktiivinen kartta

Kartta näyttää meteorin suuntahavainnot. Vaaleammat viivat näyttävät suunnat havaintoasemilta meteorin ilmestyessä, ja tummemmat viivat näyttävät, missä se viimeksi nähtiin. Sininen nuoli näyttää meteorin näkyvän lennon.

static map
height profile
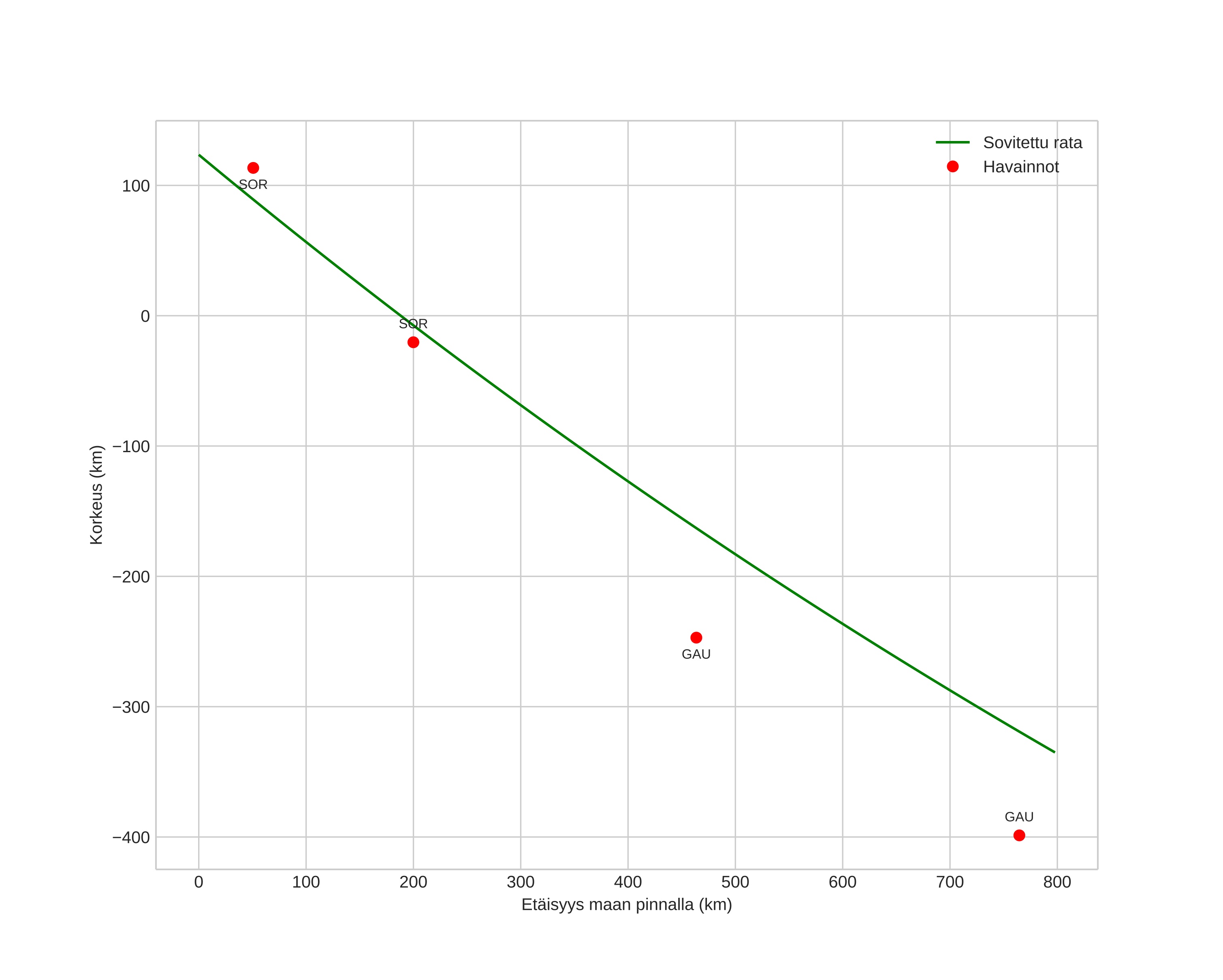
Meteorin ilmakehärata:
Alkukorkeus: 122,7 km
Loppukorkeus: -330,4 km
Alkupiste: 63,758N -13,771E
Loppupiste: 58,355N -23,638E
Suunta: 225,9°
Kallistuskulma: 29,5°
orbit plot
position vs time
speed and acceleration

Sorreisa (SOR) cam5

gnomonic
Videot:
• Alkuperäinen
Kuvat:
• Alkuperäinen
Tekstitiedostot:
• Havaintoraportti
• Observaatio
• Koordinaatit
• Loki
Kirkkaus