🇳🇴 🇬🇧 🇩🇪 🇨🇿 🇫🇮

Meteor, poloha: Geilo 2024-11-04 17:36:58 UTC

Soubor KML  |  InteraktivnĂ­ mapa

Mapa zobrazuje dráhy meteoru. Světlejší čáry ukazují směry od pozorovacích stanic při objevení se meteoru a tmavší čáry, kde byl naposledy viděn. Modrá šipka značí viditelnou dráhu meteoru.

static map
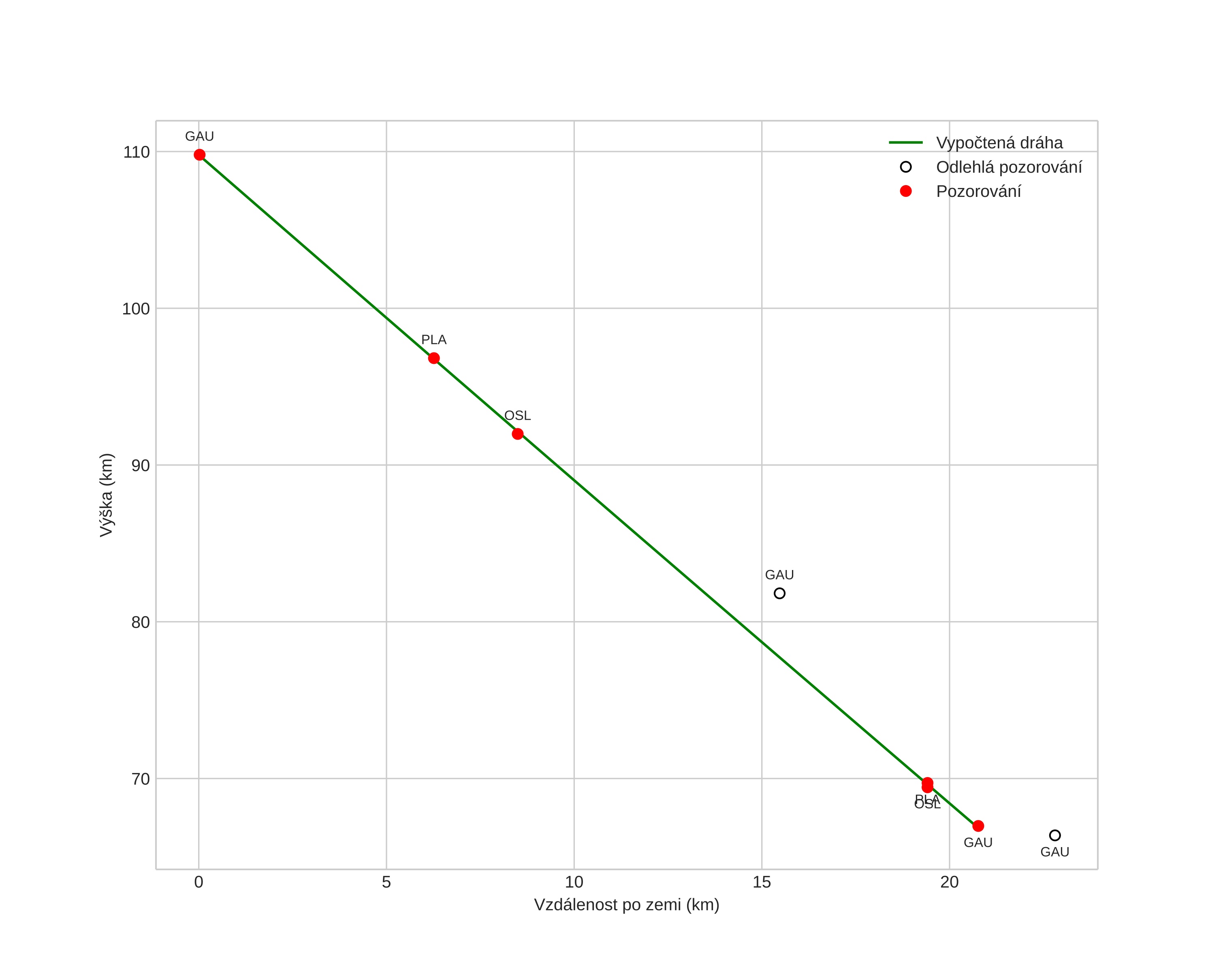
height profile
Atmosférická dráha meteoru:
Počáteční výška: 108,3 km
Konečná výška: 67,5 km
Počáteční poloha: 60,697N 7,932E
Konečná poloha: 60,525N 7,813E
Směr: 198,8°
Sklon: 63,7°
VstupnĂ­ rychlost: 37,1 km/s
Rektascenze radiantu: 01:24 (21,0°)
Deklinace radiantu: 81,0°
MeteorickĂ˝ roj: sporadickĂ˝
Elementy dráhy meteoroidu:
Vzdálenost v periheliu: 0,853 AU
Excentricita: 0,894
Sklon dráhy: 54,9°
Délka vzestupného uzlu: 222,5°
Argument perihelia: 225,2°
Střední anomálie: 358,7°
Epocha: 2024 NOV 04 17:36:58
orbit plot

NeinteraktivnĂ­ graf | InteraktivnĂ­ graf

position vs time
speed and acceleration

Plassen (PLA) cam5

gnomonic
Videa
Obrázky
• Původní
Textové soubory
• Detekce
• Pozorování
• Souřadnice
• Protokol
Jasnost