🇳🇴 🇬🇧 🇩🇪 🇨🇿 🇫🇮

Meteor, poloha: Stavern 2024-11-04 20:53:15 UTC

Soubor KML  |  InteraktivnĂ­ mapa

Mapa zobrazuje dráhy meteoru. Světlejší čáry ukazují směry od pozorovacích stanic při objevení se meteoru a tmavší čáry, kde byl naposledy viděn. Modrá šipka značí viditelnou dráhu meteoru.

static map
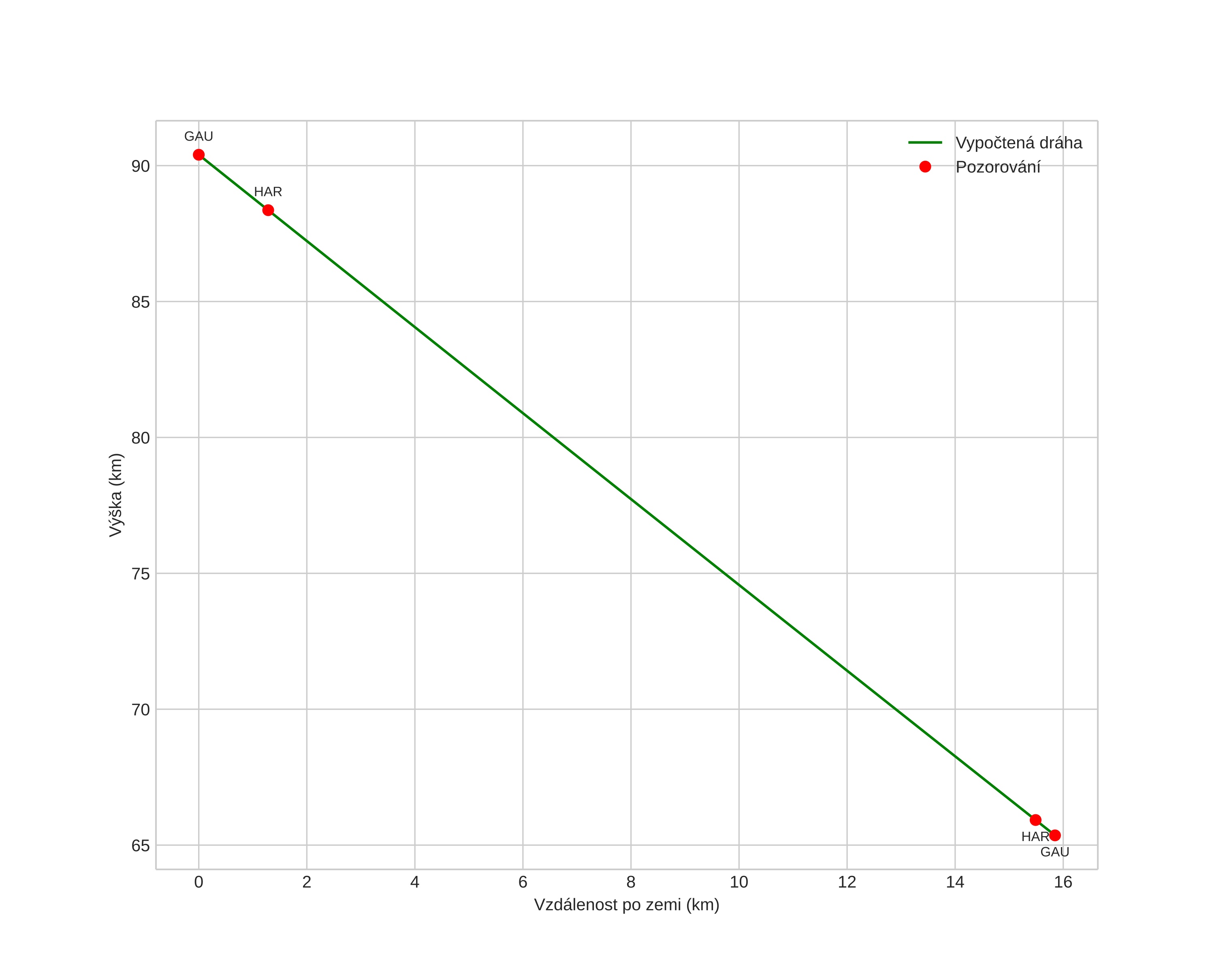
height profile
Atmosférická dráha meteoru:
Počáteční výška: 90,5 km
Konečná výška: 65,2 km
Počáteční poloha: 58,417N 10,440E
Konečná poloha: 58,491N 10,203E
Směr: 300,9°
Sklon: 57,6°
VstupnĂ­ rychlost: 29,0 km/s
Rektascenze radiantu: 02:49 (42,3°)
Deklinace radiantu: 33,9°
MeteorickĂ˝ roj: sporadickĂ˝
Elementy dráhy meteoroidu:
Vzdálenost v periheliu: 0,473 AU
Excentricita: 0,811
Sklon dráhy: 16,2°
Délka vzestupného uzlu: 222,6°
Argument perihelia: 279,7°
Střední anomálie: 349,1°
Epocha: 2024 NOV 04 20:53:15
orbit plot

NeinteraktivnĂ­ graf | InteraktivnĂ­ graf

position vs time
speed and acceleration