🇳🇴 🇬🇧 🇩🇪 🇨🇿 🇫🇮

Meteor, poloha: Larkollen 2024-11-04 20:59:54 UTC

Soubor KML  |  InteraktivnĂ­ mapa

Mapa zobrazuje dráhy meteoru. Světlejší čáry ukazují směry od pozorovacích stanic při objevení se meteoru a tmavší čáry, kde byl naposledy viděn. Modrá šipka značí viditelnou dráhu meteoru.

static map
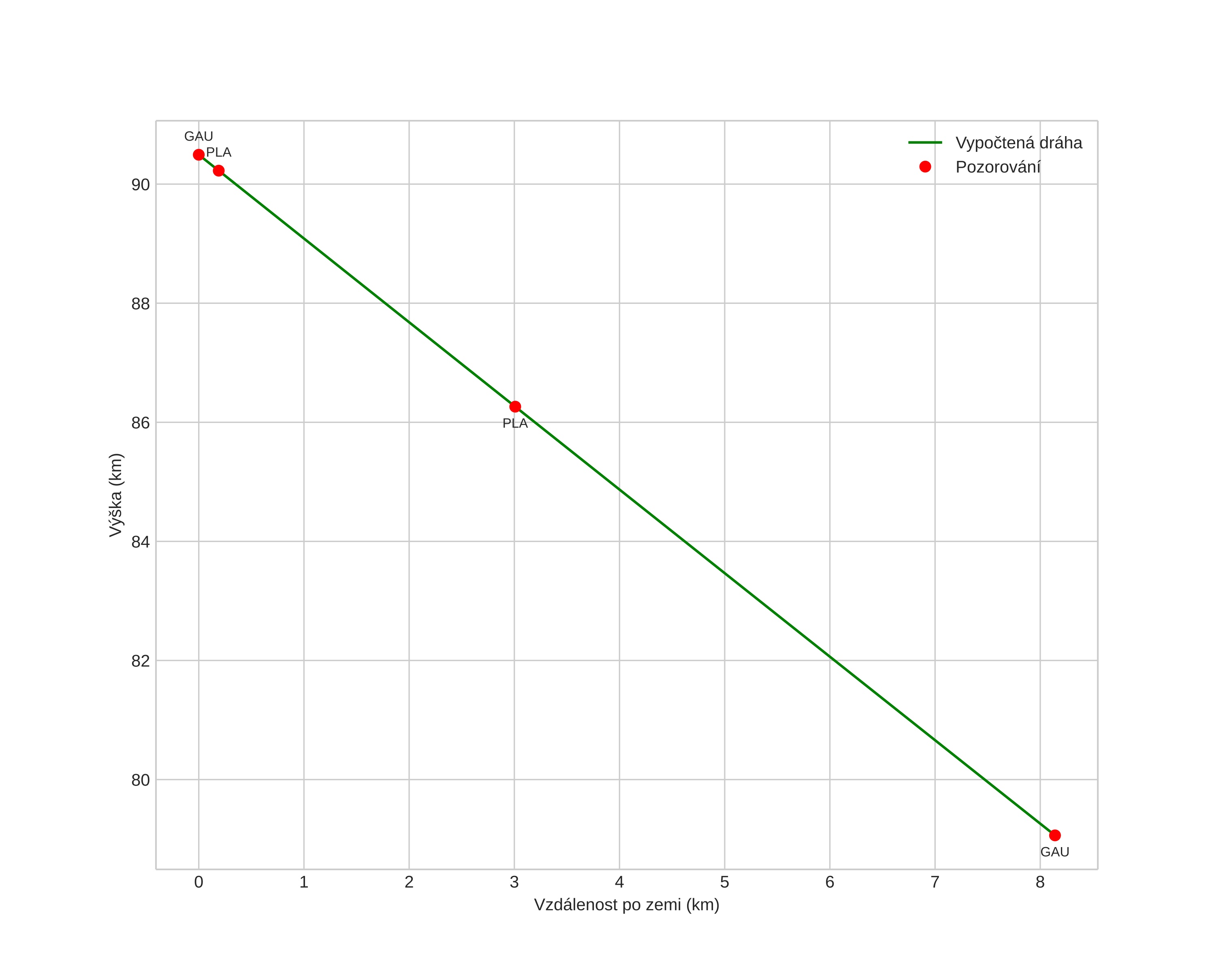
height profile
Atmosférická dráha meteoru:
Počáteční výška: 96,8 km
Konečná výška: 80,4 km
Počáteční poloha: 59,292N 10,502E
Konečná poloha: 59,204N 10,629E
Směr: 143,9°
Sklon: 53,3°
VstupnĂ­ rychlost: 27,4 km/s
Rektascenze radiantu: 18:22 (275,6°)
Deklinace radiantu: 67,9°
MeteorickĂ˝ roj: sporadickĂ˝
Elementy dráhy meteoroidu:
Vzdálenost v periheliu: 0,990 AU
Excentricita: 0,724
Sklon dráhy: 39,7°
Délka vzestupného uzlu: 222,6°
Argument perihelia: 185,4°
Střední anomálie: 359,4°
Epocha: 2024 NOV 04 20:59:54
orbit plot

NeinteraktivnĂ­ graf | InteraktivnĂ­ graf

position vs time
speed and acceleration

Plassen (PLA) cam4

gnomonic
Videa
Obrázky
• Původní
Textové soubory
• Detekce
• Pozorování
• Souřadnice
• Protokol
Jasnost