🇳🇴 🇬🇧 🇩🇪 🇨🇿 🇫🇮

Meteor, poloha: Innbygda 2024-11-05 00:24:12 UTC

Soubor KML  |  InteraktivnĂ­ mapa

Mapa zobrazuje dráhy meteoru. Světlejší čáry ukazují směry od pozorovacích stanic při objevení se meteoru a tmavší čáry, kde byl naposledy viděn. Modrá šipka značí viditelnou dráhu meteoru.

static map
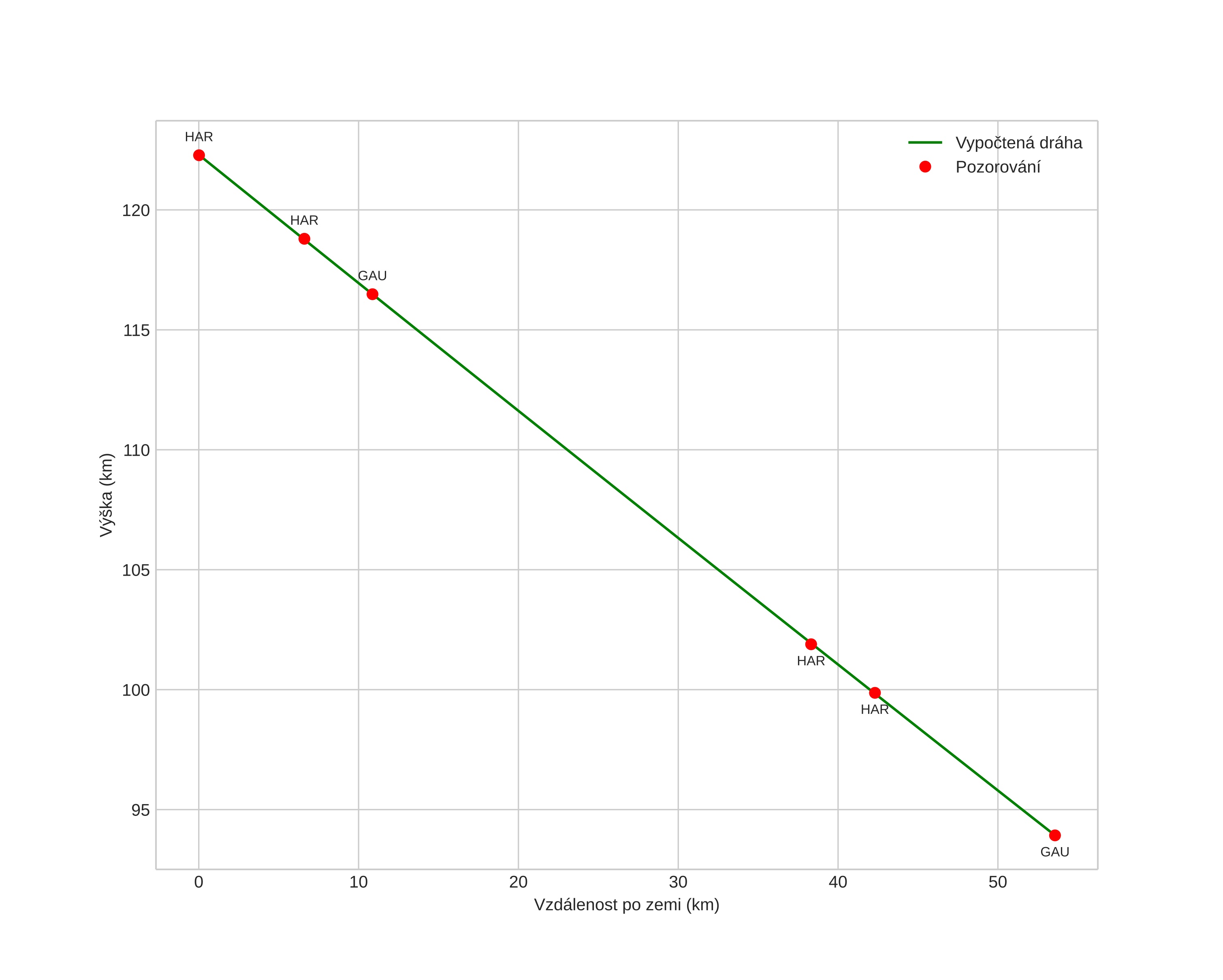
height profile
Atmosférická dráha meteoru:
Počáteční výška: 121,3 km
Konečná výška: 93,8 km
Počáteční poloha: 60,802N 12,987E
Konečná poloha: 61,011N 12,126E
Směr: 296,9°
Sklon: 27,8°
VstupnĂ­ rychlost: 71,1 km/s
Rektascenze radiantu: 07:48 (117,2°)
Deklinace radiantu: 11,9°
MeteorickĂ˝ roj: sporadickĂ˝
Elementy dráhy meteoroidu:
Vzdálenost v periheliu: 0,792 AU
Excentricita: 1,034
Sklon dráhy: 163,3°
Délka vzestupného uzlu: 42,7°
Argument perihelia: 52,8°
Střední anomálie: -0,3°
Epocha: 2024 NOV 05 00:24:12
orbit plot

NeinteraktivnĂ­ graf | InteraktivnĂ­ graf

position vs time
speed and acceleration