🇳🇴 🇬🇧 🇩🇪 🇨🇿 🇫🇮

Meteor, poloha: Dokka 2024-11-05 04:18:08 UTC

Soubor KML  |  InteraktivnĂ­ mapa

Mapa zobrazuje dráhy meteoru. Světlejší čáry ukazují směry od pozorovacích stanic při objevení se meteoru a tmavší čáry, kde byl naposledy viděn. Modrá šipka značí viditelnou dráhu meteoru.

static map
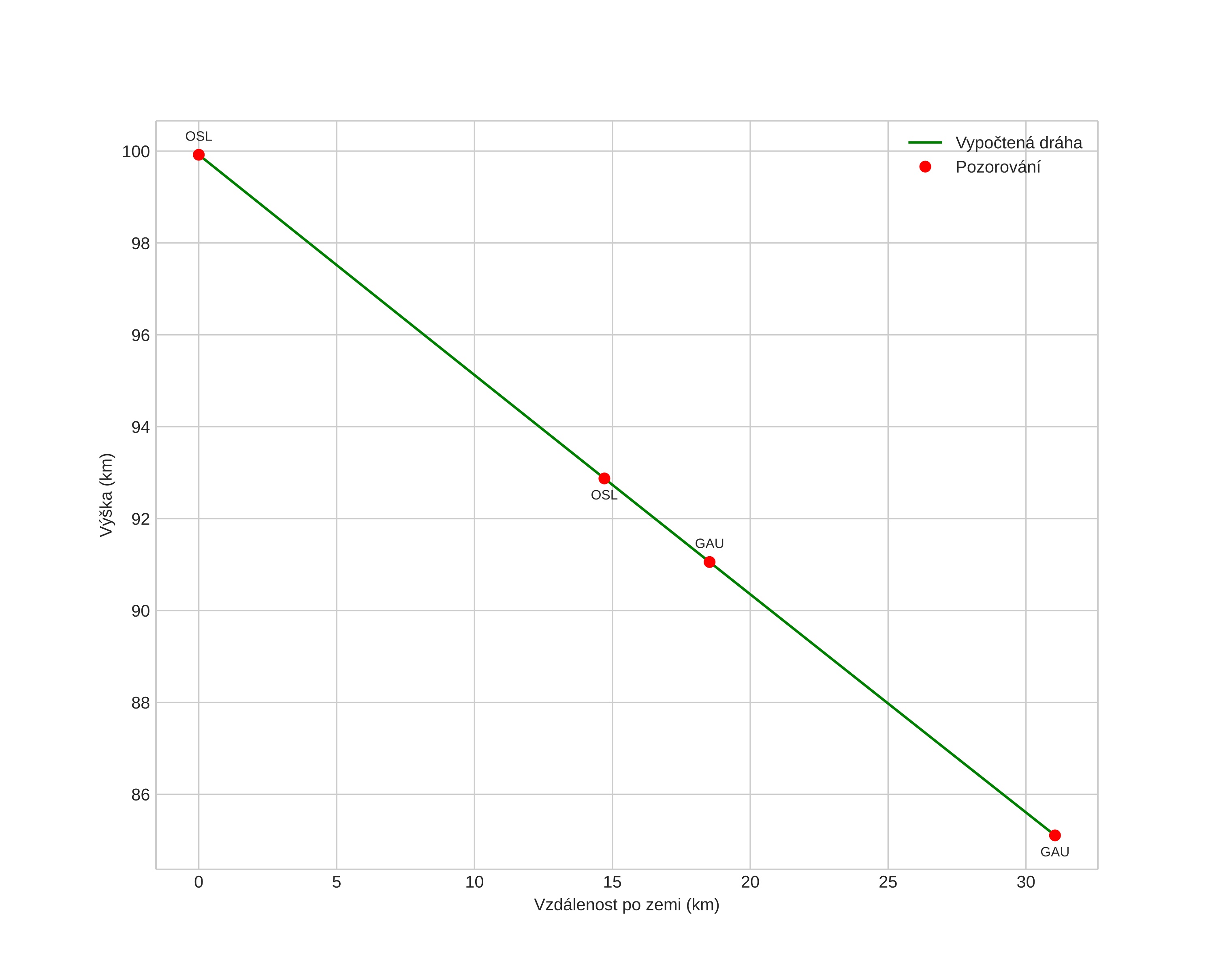
height profile
Atmosférická dráha meteoru:
Počáteční výška: 95,9 km
Konečná výška: 83,4 km
Počáteční poloha: 60,432N 9,425E
Konečná poloha: 60,484N 9,883E
Směr: 76,7°
Sklon: 25,9°
VstupnĂ­ rychlost: 32,5 km/s
Rektascenze radiantu: 03:25 (51,5°)
Deklinace radiantu: 13,9°
MeteorickĂ˝ roj: SevernĂ­ Tauridy
Elementy dráhy meteoroidu:
Vzdálenost v periheliu: 0,362 AU
Excentricita: 0,908
Sklon dráhy: 5,7°
Délka vzestupného uzlu: 42,9°
Argument perihelia: 109,5°
Střední anomálie: 354,9°
Epocha: 2024 NOV 05 04:18:08
orbit plot

NeinteraktivnĂ­ graf | InteraktivnĂ­ graf

position vs time
speed and acceleration