🇳🇴 🇬🇧 🇩🇪 🇨🇿 🇫🇮

Meteor, poloha: FlĂĄ 2024-11-05 17:08:14 UTC

Soubor KML  |  InteraktivnĂ­ mapa

Mapa zobrazuje dráhy meteoru. Světlejší čáry ukazují směry od pozorovacích stanic při objevení se meteoru a tmavší čáry, kde byl naposledy viděn. Modrá šipka značí viditelnou dráhu meteoru.

static map
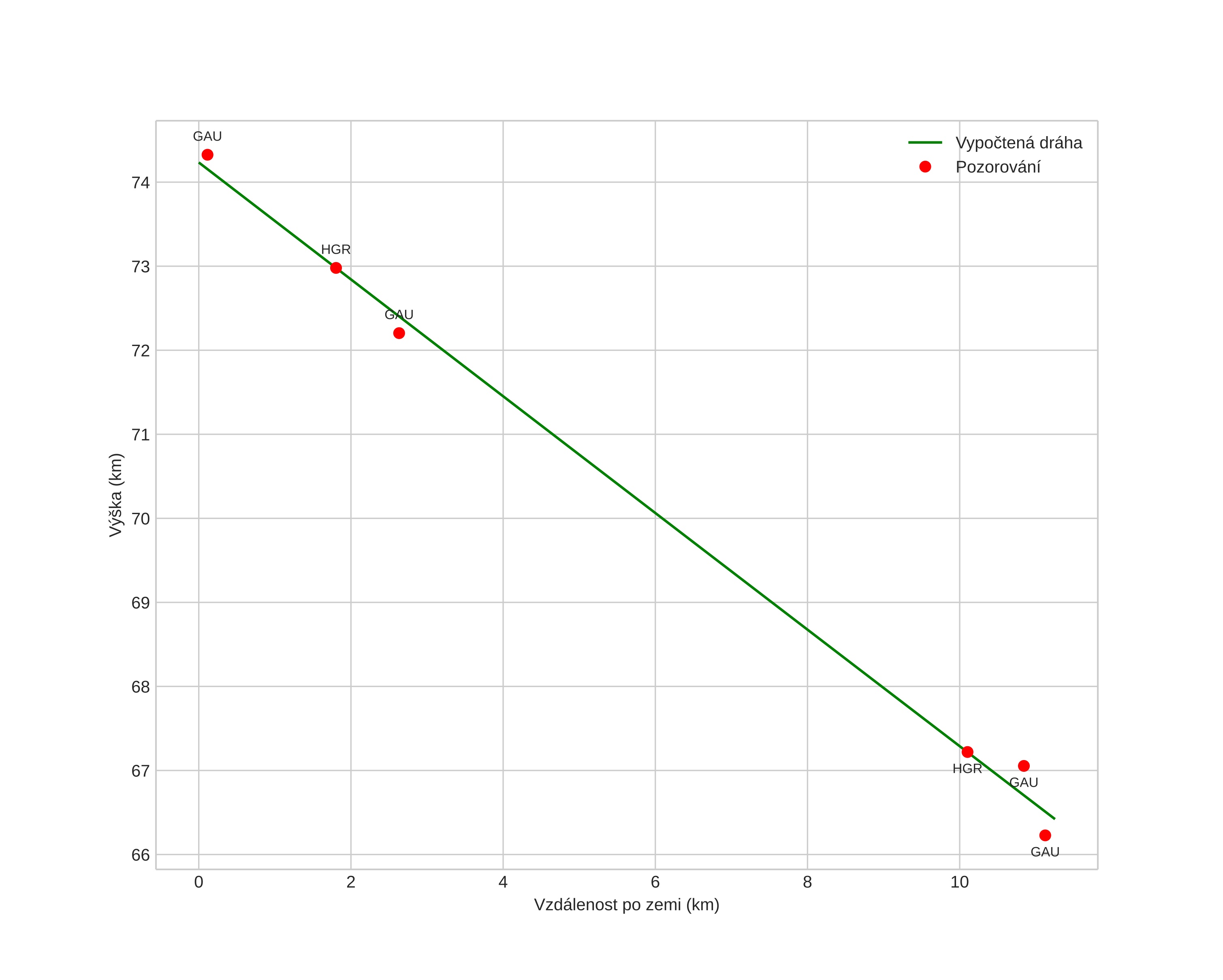
height profile
Atmosférická dráha meteoru:
Počáteční výška: 74,3 km
Konečná výška: 66,3 km
Počáteční poloha: 60,359N 9,441E
Konečná poloha: 60,427N 9,284E
Směr: 311,5°
Sklon: 35,0°
VstupnĂ­ rychlost: 13,4 km/s
Rektascenze radiantu: 23:44 (356,2°)
Deklinace radiantu: -2,7°
MeteorickĂ˝ roj: sporadickĂ˝
Elementy dráhy meteoroidu:
Vzdálenost v periheliu: 0,957 AU
Excentricita: 0,454
Sklon dráhy: 0,2°
Délka vzestupného uzlu: 44,1°
Argument perihelia: 26,8°
Střední anomálie: 350,6°
Epocha: 2024 NOV 05 17:08:14
orbit plot

NeinteraktivnĂ­ graf | InteraktivnĂ­ graf

position vs time
speed and acceleration