🇳🇴 🇬🇧 🇩🇪 🇨🇿 🇫🇮

Meteor, poloha: Aurlandsvangen 2024-11-05 18:24:13 UTC

Soubor KML  |  InteraktivnĂ­ mapa

Mapa zobrazuje dráhy meteoru. Světlejší čáry ukazují směry od pozorovacích stanic při objevení se meteoru a tmavší čáry, kde byl naposledy viděn. Modrá šipka značí viditelnou dráhu meteoru.

static map
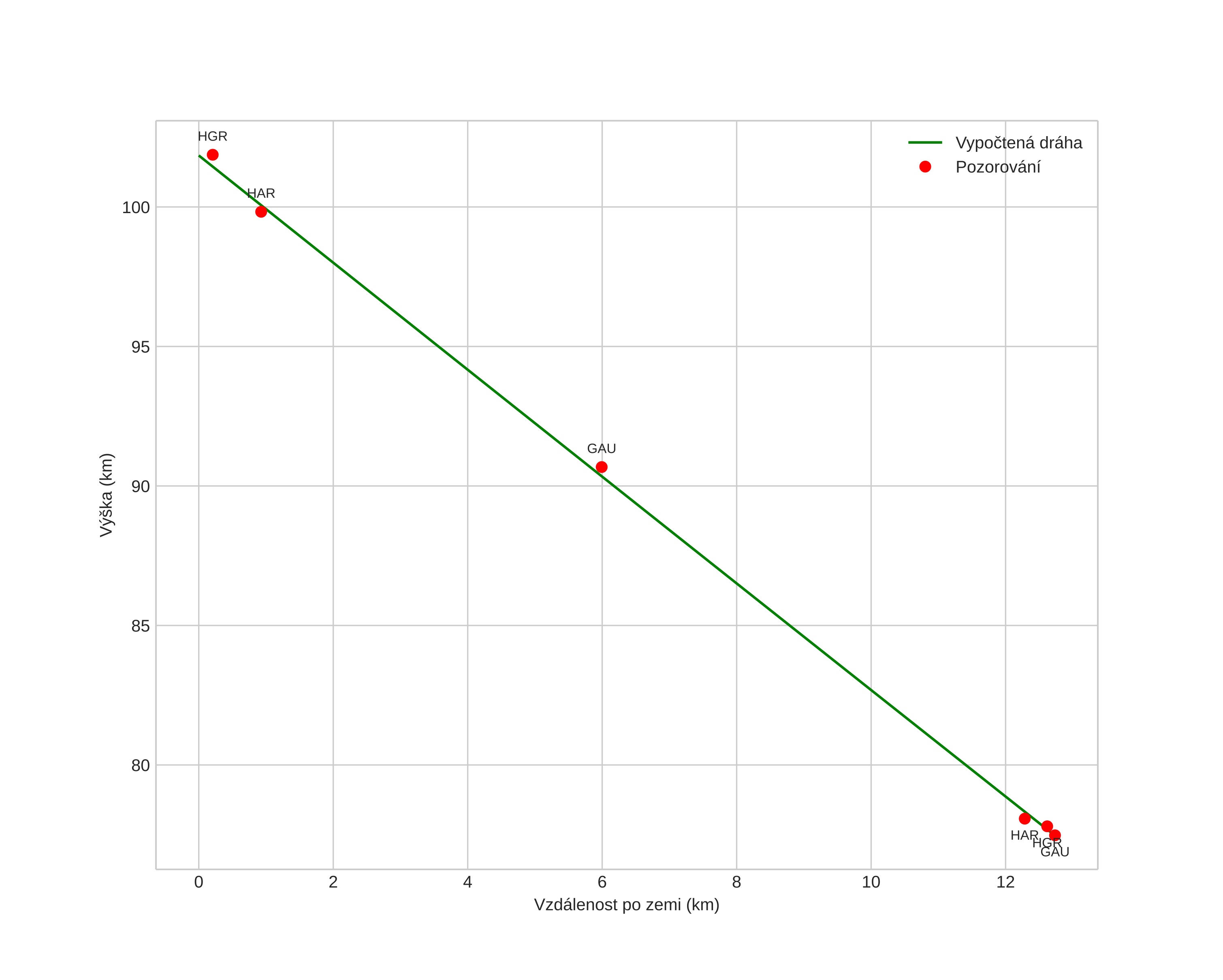
height profile
Atmosférická dráha meteoru:
Počáteční výška: 101,7 km
Konečná výška: 77,1 km
Počáteční poloha: 60,629N 7,829E
Konečná poloha: 60,592N 7,604E
Směr: 251,4°
Sklon: 62,2°
VstupnĂ­ rychlost: 33,6 km/s
Rektascenze radiantu: 01:40 (25,1°)
Deklinace radiantu: 57,2°
MeteorickĂ˝ roj: sporadickĂ˝
Elementy dráhy meteoroidu:
Vzdálenost v periheliu: 0,691 AU
Excentricita: 1,018
Sklon dráhy: 37,3°
Délka vzestupného uzlu: 223,5°
Argument perihelia: 246,4°
Střední anomálie: -0,2°
Epocha: 2024 NOV 05 18:24:13
orbit plot

NeinteraktivnĂ­ graf | InteraktivnĂ­ graf

position vs time
speed and acceleration