🇳🇴 🇬🇧 🇩🇪 🇨🇿 🇫🇮

Meteor, poloha: Mysen 2024-11-05 19:15:37 UTC

Soubor KML  |  InteraktivnĂ­ mapa

Mapa zobrazuje dráhy meteoru. Světlejší čáry ukazují směry od pozorovacích stanic při objevení se meteoru a tmavší čáry, kde byl naposledy viděn. Modrá šipka značí viditelnou dráhu meteoru.

static map
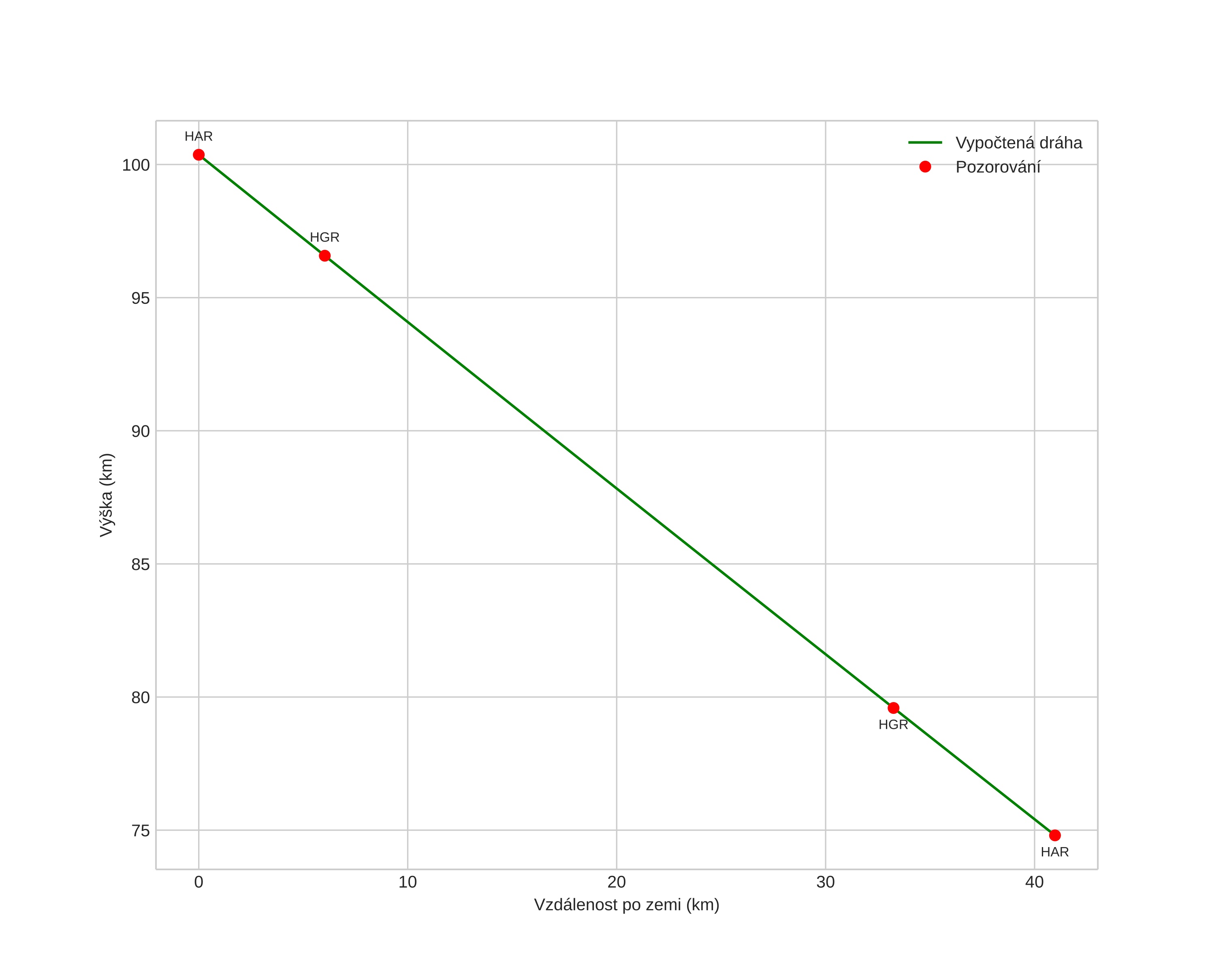
height profile
Atmosférická dráha meteoru:
Počáteční výška: 100,6 km
Konečná výška: 76,2 km
Počáteční poloha: 59,494N 11,972E
Konečná poloha: 59,533N 11,282E
Směr: 276,6°
Sklon: 31,9°
VstupnĂ­ rychlost: 32,4 km/s
Rektascenze radiantu: 03:36 (54,2°)
Deklinace radiantu: 22,3°
MeteorickĂ˝ roj: SevernĂ­ Tauridy
Elementy dráhy meteoroidu:
Vzdálenost v periheliu: 0,313 AU
Excentricita: 0,868
Sklon dráhy: 3,8°
Délka vzestupného uzlu: 223,5°
Argument perihelia: 298,3°
Střední anomálie: 349,0°
Epocha: 2024 NOV 05 19:15:37
orbit plot

NeinteraktivnĂ­ graf | InteraktivnĂ­ graf

position vs time
speed and acceleration