🇳🇴 🇬🇧 🇩🇪 🇨🇿 🇫🇮

Meteor, poloha: Arendal 2024-11-05 21:55:24 UTC

Soubor KML  |  InteraktivnĂ­ mapa

Mapa zobrazuje dráhy meteoru. Světlejší čáry ukazují směry od pozorovacích stanic při objevení se meteoru a tmavší čáry, kde byl naposledy viděn. Modrá šipka značí viditelnou dráhu meteoru.

static map
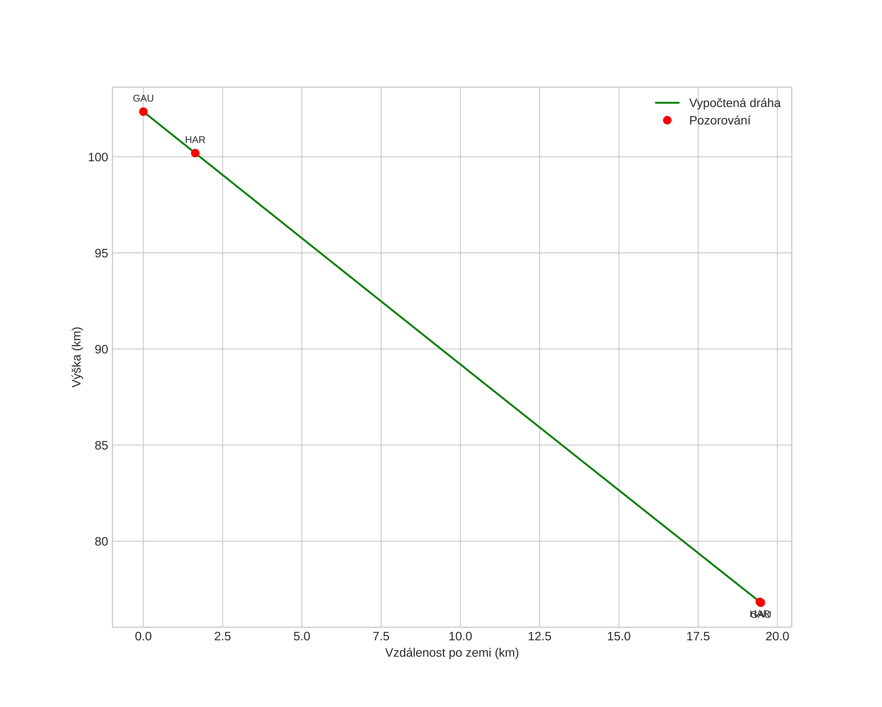
height profile
Atmosférická dráha meteoru:
Počáteční výška: 102,0 km
Konečná výška: 76,8 km
Počáteční poloha: 58,192N 9,191E
Konečná poloha: 58,020N 9,201E
Směr: 178,2°
Sklon: 52,9°
VstupnĂ­ rychlost: 41,3 km/s
Rektascenze radiantu: 14:30 (217,6°)
Deklinace radiantu: 84,0°
MeteorickĂ˝ roj: sporadickĂ˝
Elementy dráhy meteoroidu:
Vzdálenost v periheliu: 0,961 AU
Excentricita: 0,984
Sklon dráhy: 64,2°
Délka vzestupného uzlu: 223,6°
Argument perihelia: 200,2°
Střední anomálie: 360,0°
Epocha: 2024 NOV 05 21:55:24
orbit plot

NeinteraktivnĂ­ graf | InteraktivnĂ­ graf

position vs time
speed and acceleration