🇳🇴 🇬🇧 🇩🇪 🇨🇿 🇫🇮

Meteor, poloha: Høyanger 2024-11-05 22:48:58 UTC

Soubor KML  |  InteraktivnĂ­ mapa

Mapa zobrazuje dráhy meteoru. Světlejší čáry ukazují směry od pozorovacích stanic při objevení se meteoru a tmavší čáry, kde byl naposledy viděn. Modrá šipka značí viditelnou dráhu meteoru.

static map
height profile
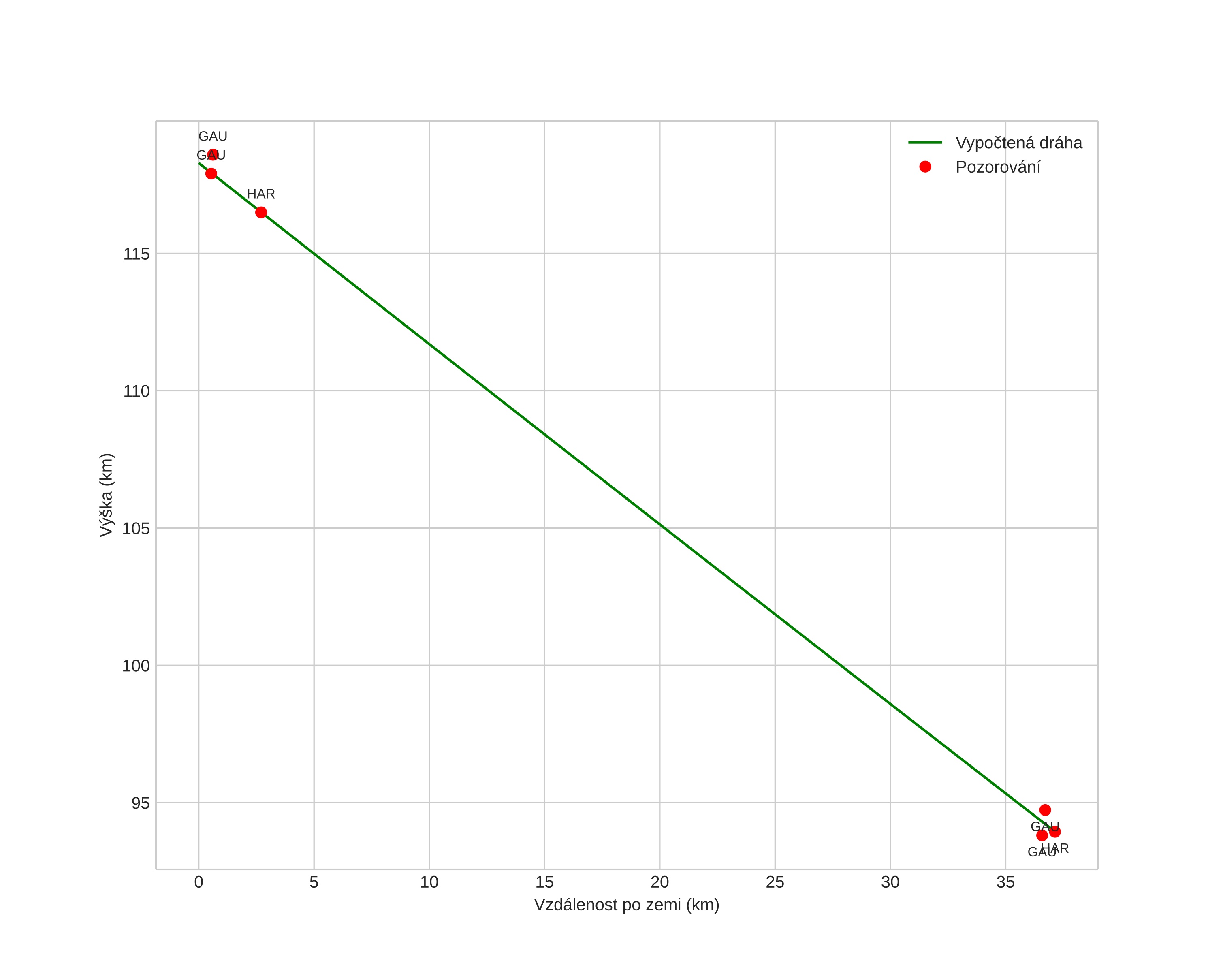
Atmosférická dráha meteoru:
Počáteční výška: 117,9 km
Konečná výška: 93,5 km
Počáteční poloha: 61,002N 6,886E
Konečná poloha: 60,970N 6,179E
Směr: 264,9°
Sklon: 32,5°
VstupnĂ­ rychlost: 70,9 km/s
Rektascenze radiantu: 07:25 (111,4°)
Deklinace radiantu: 30,2°
MeteorickĂ˝ roj: sporadickĂ˝
Elementy dráhy meteoroidu:
Vzdálenost v periheliu: 0,591 AU
Excentricita: 1,172
Sklon dráhy: 163,1°
Délka vzestupného uzlu: 223,7°
Argument perihelia: 255,4°
Střední anomálie: -5,3°
Epocha: 2024 NOV 05 22:48:58
orbit plot

NeinteraktivnĂ­ graf | InteraktivnĂ­ graf

position vs time
speed and acceleration