🇳🇴 🇬🇧 🇩🇪 🇨🇿 🇫🇮

Meteor, poloha: Vansbro 2024-11-05 23:02:32 UTC

Soubor KML  |  InteraktivnĂ­ mapa

Mapa zobrazuje dráhy meteoru. Světlejší čáry ukazují směry od pozorovacích stanic při objevení se meteoru a tmavší čáry, kde byl naposledy viděn. Modrá šipka značí viditelnou dráhu meteoru.

static map
height profile
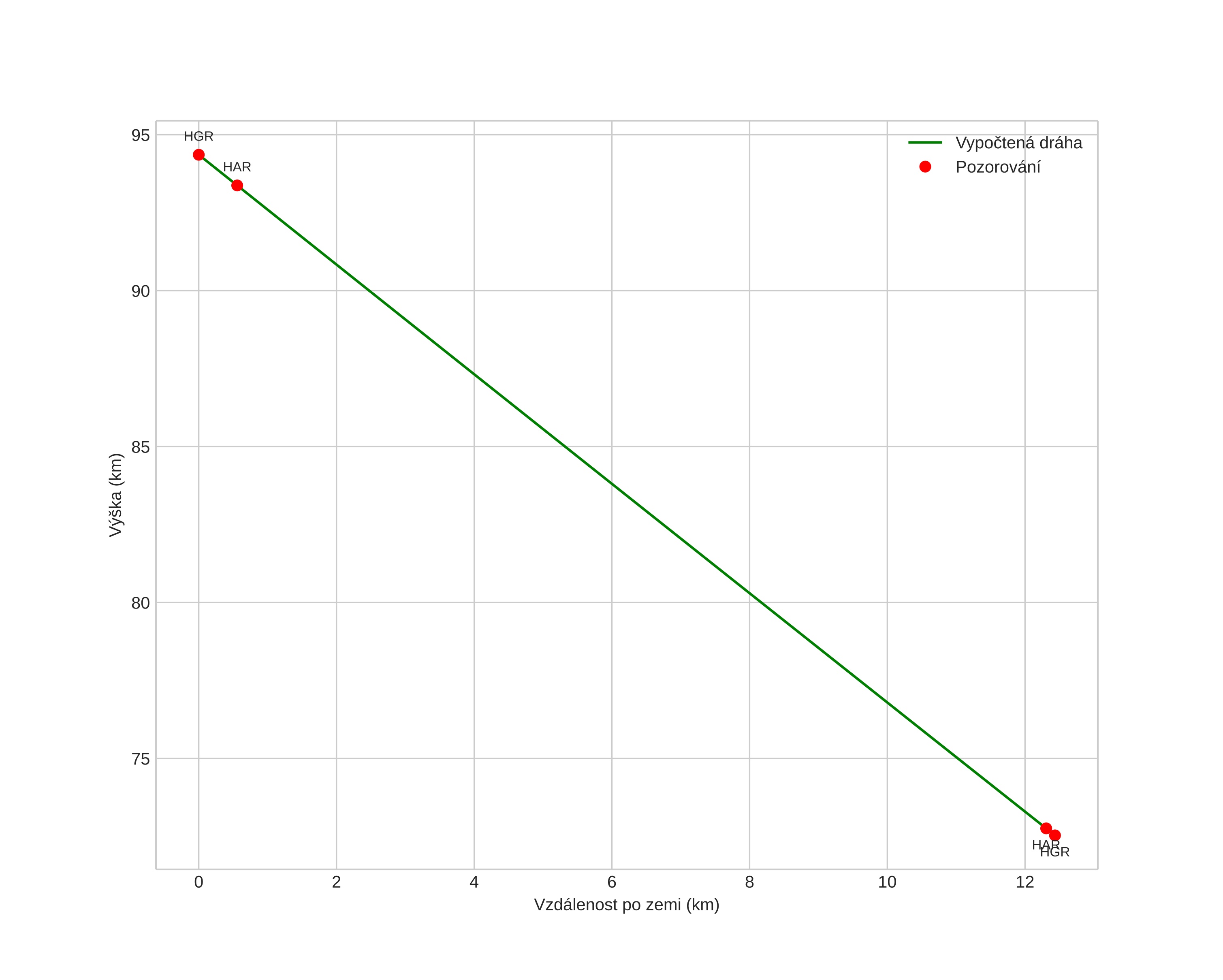
Atmosférická dráha meteoru:
Počáteční výška: 95,0 km
Konečná výška: 72,9 km
Počáteční poloha: 60,652N 14,005E
Konečná poloha: 60,738N 14,191E
Směr: 46,6°
Sklon: 57,7°
VstupnĂ­ rychlost: 24,5 km/s
Rektascenze radiantu: 01:02 (15,5°)
Deklinace radiantu: 31,7°
MeteorickĂ˝ roj: sporadickĂ˝
Elementy dráhy meteoroidu:
Vzdálenost v periheliu: 0,766 AU
Excentricita: 0,963
Sklon dráhy: 13,4°
Délka vzestupného uzlu: 223,7°
Argument perihelia: 237,6°
Střední anomálie: 359,6°
Epocha: 2024 NOV 05 23:02:32
orbit plot

NeinteraktivnĂ­ graf | InteraktivnĂ­ graf

position vs time
speed and acceleration