🇳🇴 🇬🇧 🇩🇪 🇨🇿 🇫🇮

Meteor, poloha: Hovden 2024-11-05 23:50:36 UTC

Soubor KML  |  InteraktivnĂ­ mapa

Mapa zobrazuje dráhy meteoru. Světlejší čáry ukazují směry od pozorovacích stanic při objevení se meteoru a tmavší čáry, kde byl naposledy viděn. Modrá šipka značí viditelnou dráhu meteoru.

static map
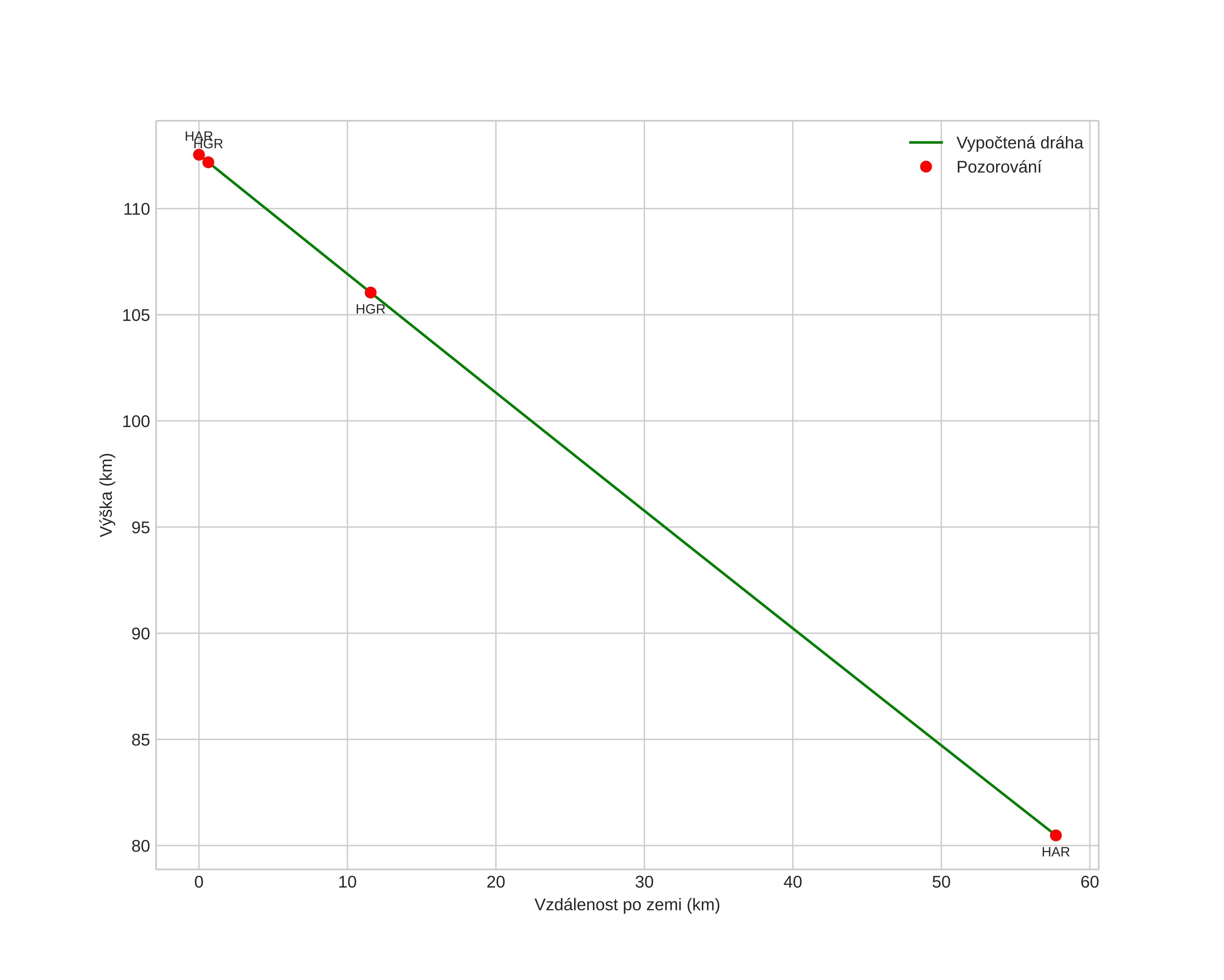
height profile
Atmosférická dráha meteoru:
Počáteční výška: 112,5 km
Konečná výška: 80,7 km
Počáteční poloha: 59,555N 8,222E
Konečná poloha: 59,904N 7,451E
Směr: 312,3°
Sklon: 28,7°
VstupnĂ­ rychlost: 59,3 km/s
Rektascenze radiantu: 06:07 (92,0°)
Deklinace radiantu: 6,0°
MeteorickĂ˝ roj: sporadickĂ˝
Elementy dráhy meteoroidu:
Vzdálenost v periheliu: 0,238 AU
Excentricita: 1,008
Sklon dráhy: 123,1°
Délka vzestupného uzlu: 43,7°
Argument perihelia: 121,0°
Střední anomálie: -0,2°
Epocha: 2024 NOV 05 23:50:36
orbit plot

NeinteraktivnĂ­ graf | InteraktivnĂ­ graf

position vs time
speed and acceleration