🇳🇴 🇬🇧 🇩🇪 🇨🇿 🇫🇮

Meteor, poloha: Noresund 2024-11-06 02:39:22 UTC

Soubor KML  |  InteraktivnĂ­ mapa

Mapa zobrazuje dráhy meteoru. Světlejší čáry ukazují směry od pozorovacích stanic při objevení se meteoru a tmavší čáry, kde byl naposledy viděn. Modrá šipka značí viditelnou dráhu meteoru.

static map
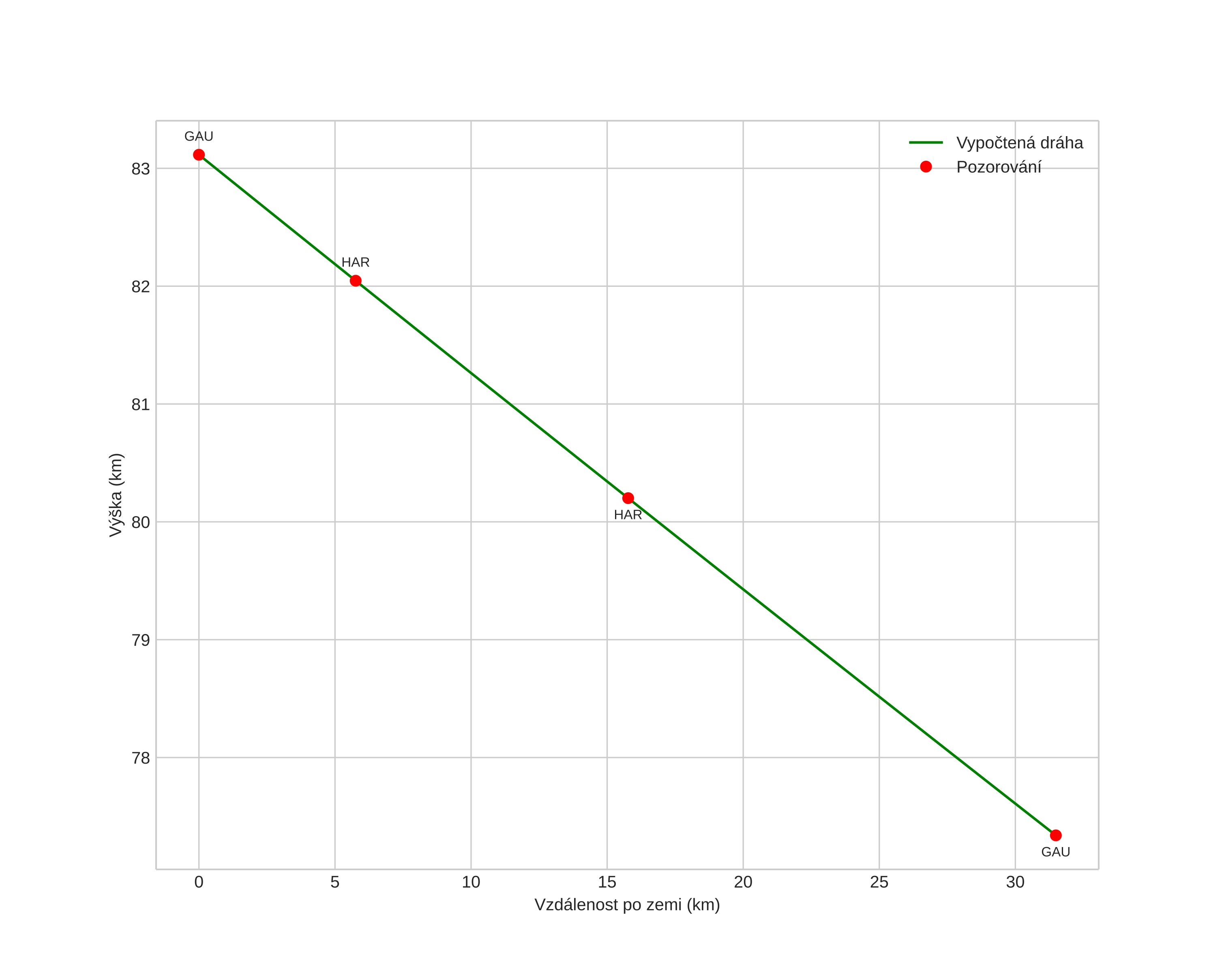
height profile
Atmosférická dráha meteoru:
Počáteční výška: 83,1 km
Konečná výška: 77,4 km
Počáteční poloha: 60,136N 8,868E
Konečná poloha: 60,175N 9,432E
Směr: 81,8°
Sklon: 10,3°
VstupnĂ­ rychlost: 16,2 km/s
Rektascenze radiantu: 00:35 (8,9°)
Deklinace radiantu: -7,9°
MeteorickĂ˝ roj: sporadickĂ˝
Elementy dráhy meteoroidu:
Vzdálenost v periheliu: 0,916 AU
Excentricita: 0,705
Sklon dráhy: 3,5°
Délka vzestupného uzlu: 43,9°
Argument perihelia: 35,1°
Střední anomálie: 355,4°
Epocha: 2024 NOV 06 02:39:22
orbit plot

NeinteraktivnĂ­ graf | InteraktivnĂ­ graf

position vs time
speed and acceleration