🇳🇴 🇬🇧 🇩🇪 🇨🇿 🇫🇮

Meteor, poloha: Orsa 2024-11-06 22:10:56 UTC

Soubor KML  |  InteraktivnĂ­ mapa

Mapa zobrazuje dráhy meteoru. Světlejší čáry ukazují směry od pozorovacích stanic při objevení se meteoru a tmavší čáry, kde byl naposledy viděn. Modrá šipka značí viditelnou dráhu meteoru.

static map
height profile
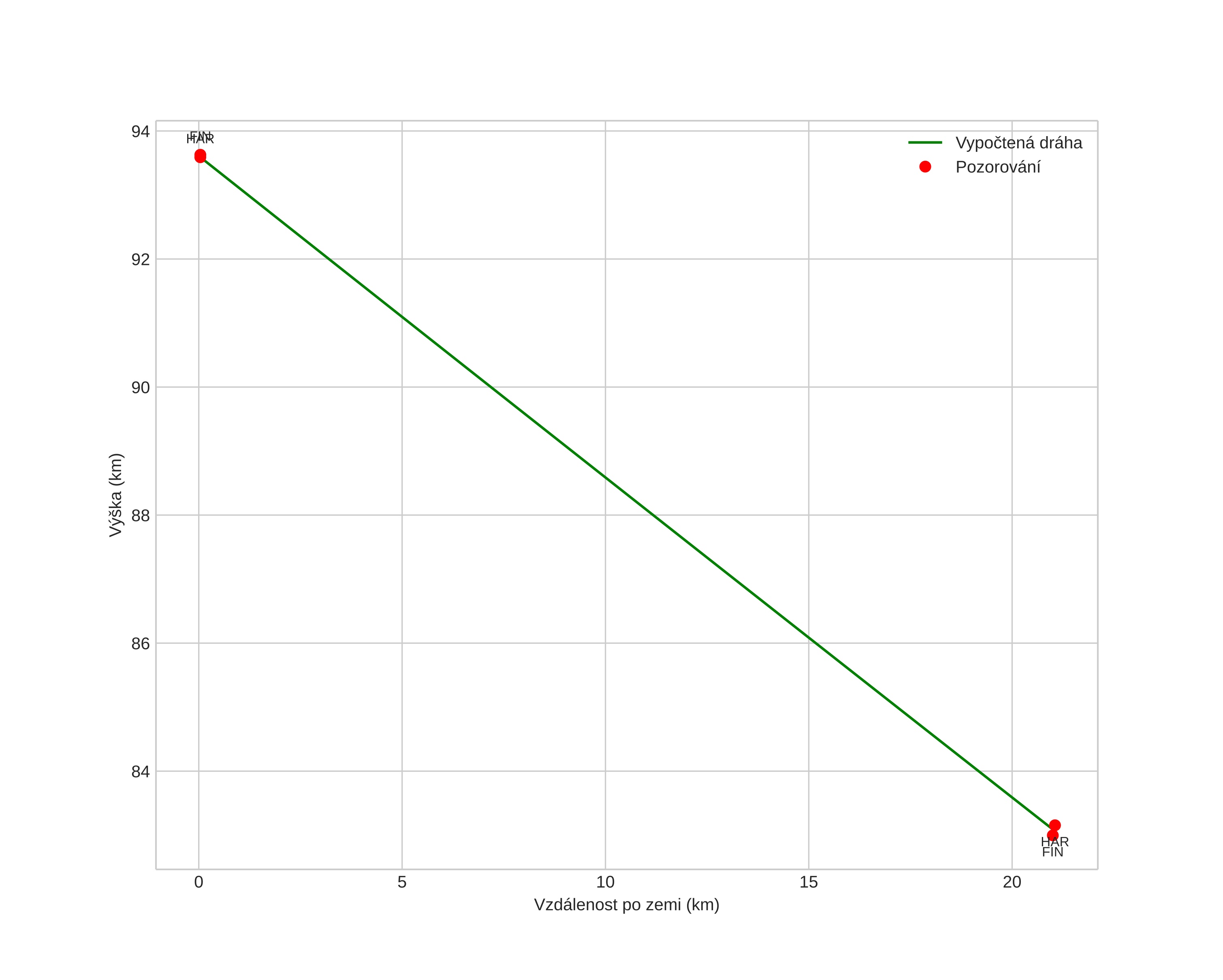
Atmosférická dráha meteoru:
Počáteční výška: 84,0 km
Konečná výška: 83,0 km
Počáteční poloha: 61,384N 14,574E
Konečná poloha: 61,587N 15,065E
Směr: 48,9°
Sklon: 1,7°
VstupnĂ­ rychlost: 37,6 km/s
Rektascenze radiantu: 22:41 (340,4°)
Deklinace radiantu: -19,2°
MeteorickĂ˝ roj: sporadickĂ˝
Elementy dráhy meteoroidu:
Vzdálenost v periheliu: 0,967 AU
Excentricita: 3,649
Sklon dráhy: 5,7°
Délka vzestupného uzlu: 44,7°
Argument perihelia: 14,2°
Střední anomálie: -28,8°
Epocha: 2024 NOV 06 22:10:56
orbit plot

NeinteraktivnĂ­ graf | InteraktivnĂ­ graf

position vs time
speed and acceleration