🇳🇴 🇬🇧 🇩🇪 🇨🇿 🇫🇮

Meteor, poloha: FlĂĄ 2024-11-06 23:15:43 UTC

Soubor KML  |  InteraktivnĂ­ mapa

Mapa zobrazuje dráhy meteoru. Světlejší čáry ukazují směry od pozorovacích stanic při objevení se meteoru a tmavší čáry, kde byl naposledy viděn. Modrá šipka značí viditelnou dráhu meteoru.

static map
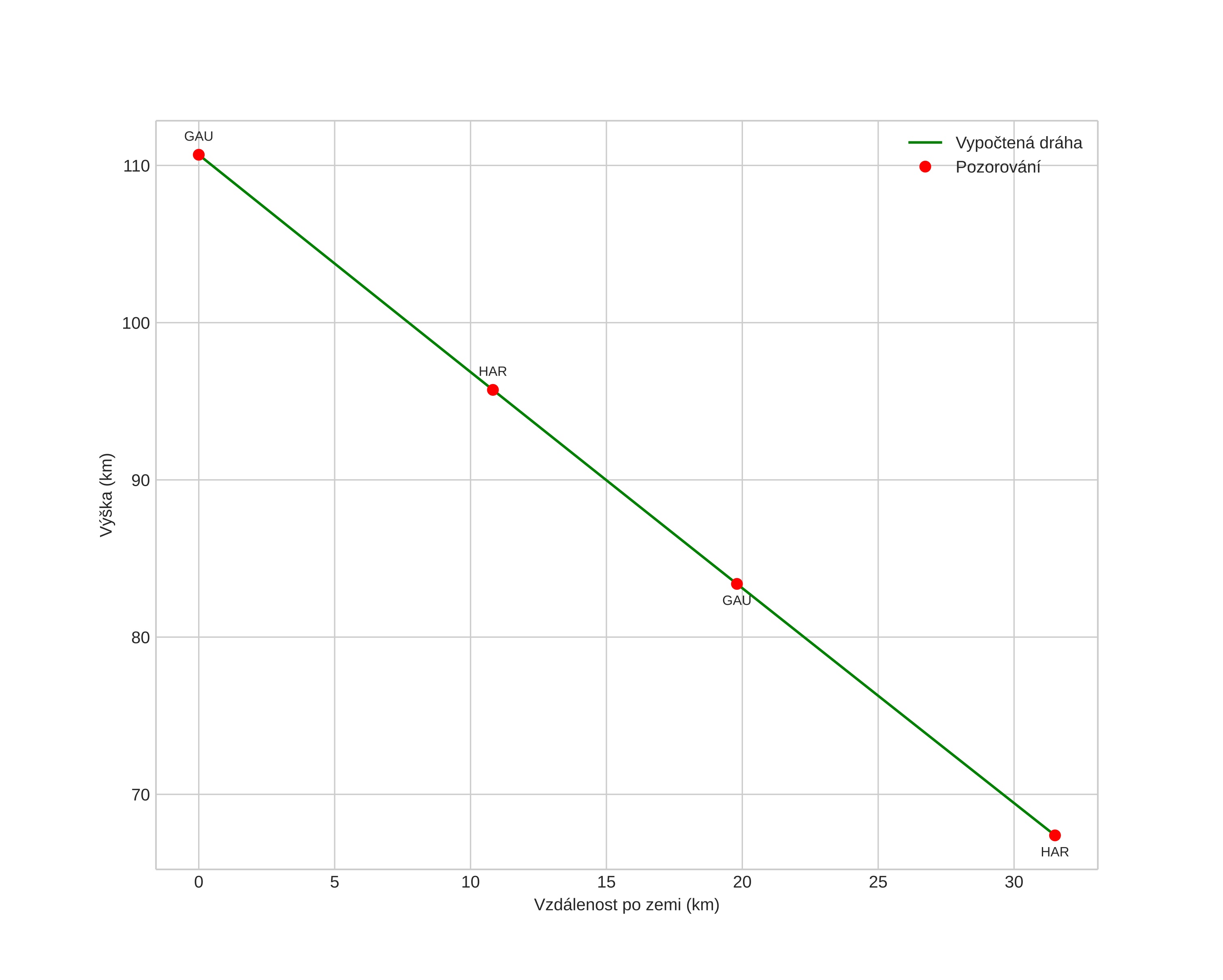
height profile
Atmosférická dráha meteoru:
Počáteční výška: 113,6 km
Konečná výška: 63,4 km
Počáteční poloha: 60,717N 9,359E
Konečná poloha: 60,409N 9,591E
Směr: 159,6°
Sklon: 54,0°
VstupnĂ­ rychlost: 34,4 km/s
Rektascenze radiantu: 19:21 (290,4°)
Deklinace radiantu: 76,2°
MeteorickĂ˝ roj: sporadickĂ˝
Elementy dráhy meteoroidu:
Vzdálenost v periheliu: 0,969 AU
Excentricita: 1,051
Sklon dráhy: 49,0°
Délka vzestupného uzlu: 224,7°
Argument perihelia: 197,0°
Střední anomálie: -0,1°
Epocha: 2024 NOV 06 23:15:43
orbit plot

NeinteraktivnĂ­ graf | InteraktivnĂ­ graf

position vs time
speed and acceleration