🇳🇴 🇬🇧 🇩🇪 🇨🇿 🇫🇮

Meteor Skattkärrin yllä 2024-11-07 00:24:14 UTC

KML-tiedosto  |  Interaktiivinen kartta

Kartta näyttää meteorin suuntahavainnot. Vaaleammat viivat näyttävät suunnat havaintoasemilta meteorin ilmestyessä, ja tummemmat viivat näyttävät, missä se viimeksi nähtiin. Sininen nuoli näyttää meteorin näkyvän lennon.

static map
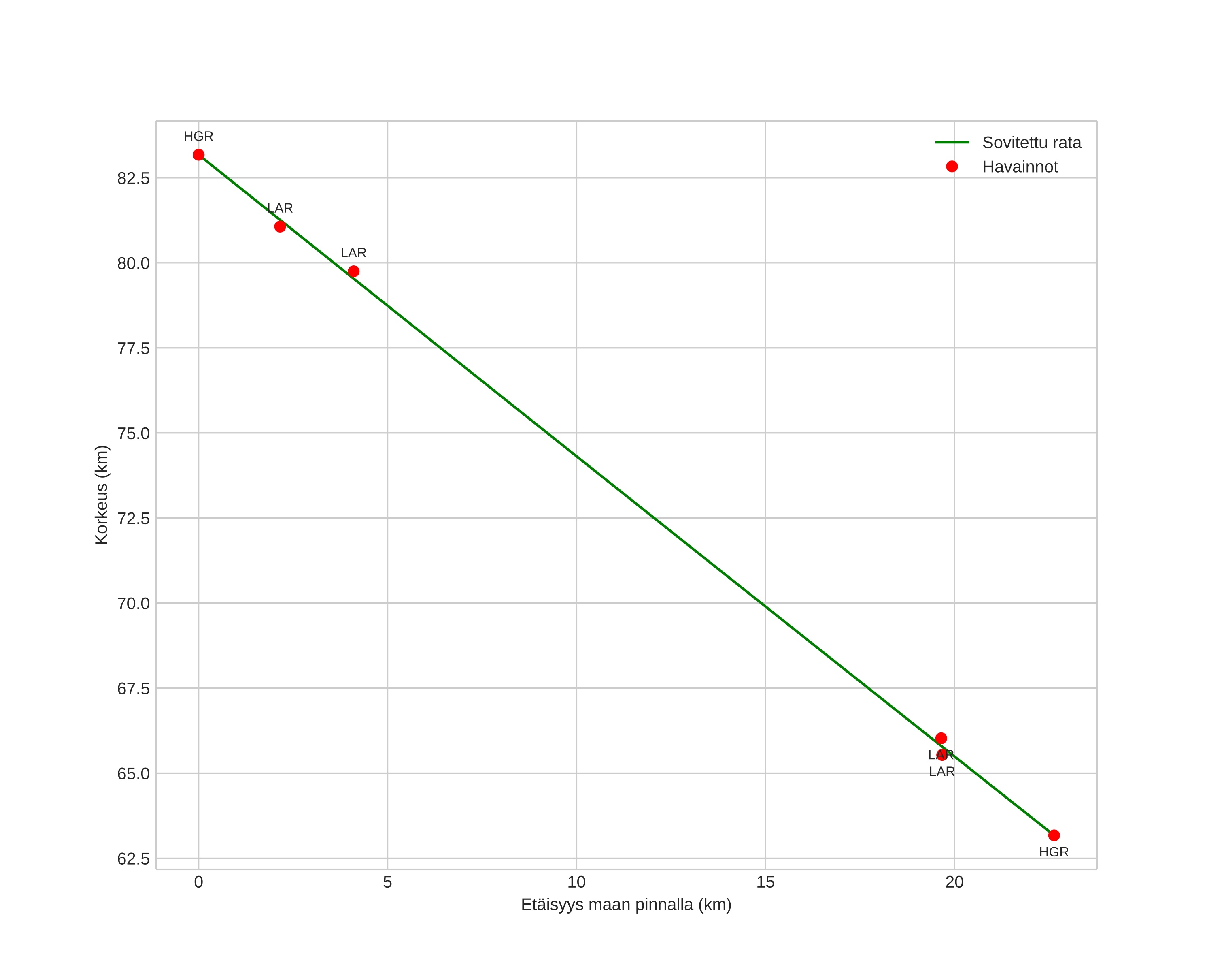
height profile
Meteorin ilmakehärata:
Alkukorkeus: 84,0 km
Loppukorkeus: 60,0 km
Alkupiste: 59,017N 13,538E
Loppupiste: 59,238N 13,743E
Suunta: 25,3°
Kallistuskulma: 41,3°
Tulonopeus: 25,9 km/s
Radiantin R,A,: 03:02 (45,6°)
Radiantin Dekl,: 9,8°
Meteoriparvi: Eteläiset tauridit
Meteoroidin rataelementit:
Perihelietäisyys: 0,547 AU
Eksentrisyys: 0,786
Inklinaatio: 5,6°
Nousevan solmun pituus: 44,8°
Perihelin argumentti: 91,0°
Keskianomalia: 349,4°
Epookki: 2024 NOV 07 00:24:14
orbit plot

Ei-interaktiivinen kuvaaja | Interaktiivinen kuvaaja

position vs time
speed and acceleration