🇳🇴 🇬🇧 🇩🇪 🇨🇿 🇫🇮

Meteor, poloha: Bruflat 2024-11-07 03:58:50 UTC

Soubor KML  |  InteraktivnĂ­ mapa

Mapa zobrazuje dráhy meteoru. Světlejší čáry ukazují směry od pozorovacích stanic při objevení se meteoru a tmavší čáry, kde byl naposledy viděn. Modrá šipka značí viditelnou dráhu meteoru.

static map
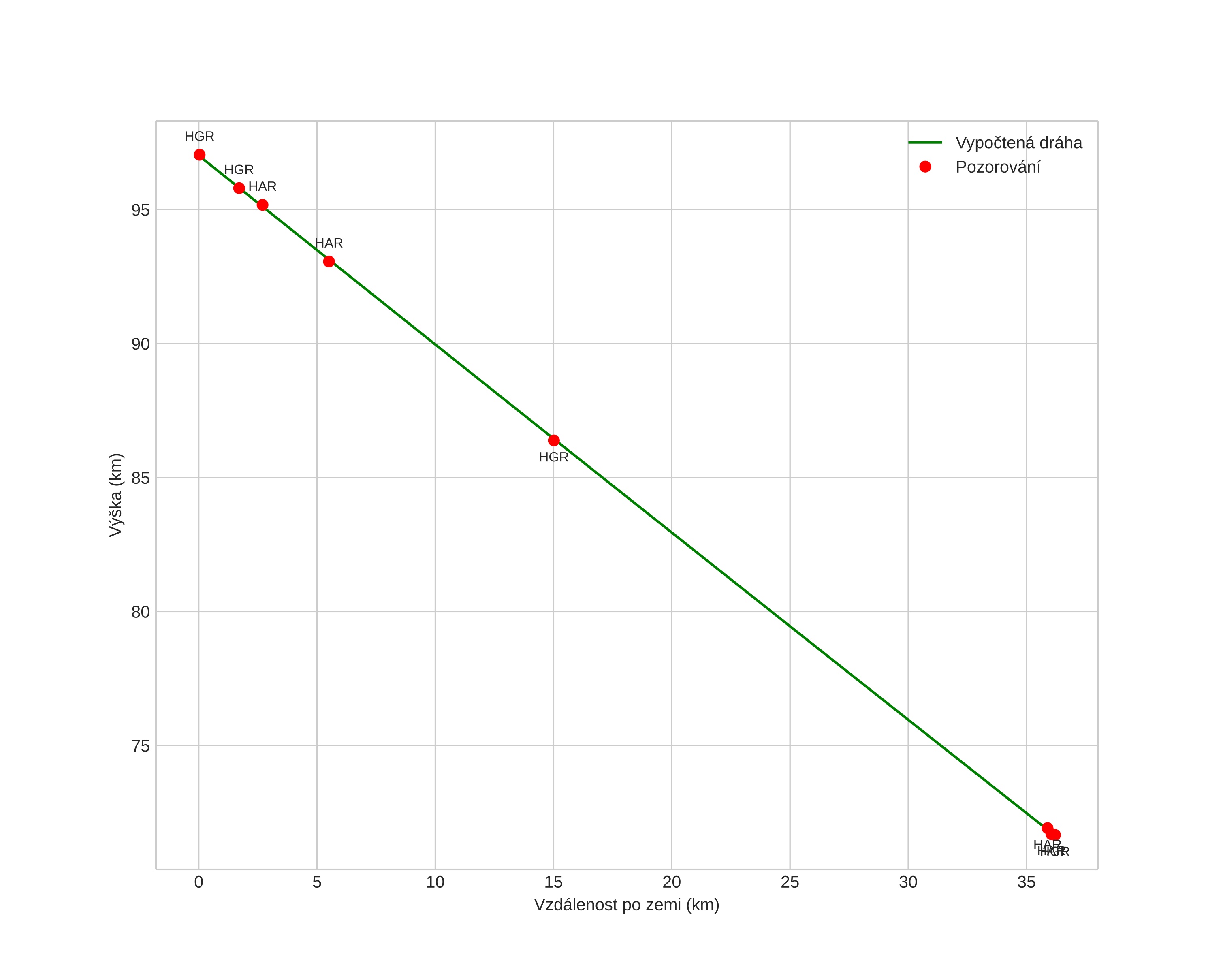
height profile
Atmosférická dráha meteoru:
Počáteční výška: 96,4 km
Konečná výška: 71,6 km
Počáteční poloha: 60,828N 9,082E
Konečná poloha: 60,911N 9,705E
Směr: 74,5°
Sklon: 35,3°
VstupnĂ­ rychlost: 30,7 km/s
Rektascenze radiantu: 03:39 (54,9°)
Deklinace radiantu: 21,4°
MeteorickĂ˝ roj: SevernĂ­ Tauridy
Elementy dráhy meteoroidu:
Vzdálenost v periheliu: 0,338 AU
Excentricita: 0,843
Sklon dráhy: 2,3°
Délka vzestupného uzlu: 224,8°
Argument perihelia: 296,3°
Střední anomálie: 346,9°
Epocha: 2024 NOV 07 03:58:50
orbit plot

NeinteraktivnĂ­ graf | InteraktivnĂ­ graf

position vs time
speed and acceleration