🇳🇴 🇬🇧 🇩🇪 🇨🇿 🇫🇮

Meteor, poloha: Fjerritslev 2024-11-07 04:54:41 UTC

Soubor KML  |  InteraktivnĂ­ mapa

Mapa zobrazuje dráhy meteoru. Světlejší čáry ukazují směry od pozorovacích stanic při objevení se meteoru a tmavší čáry, kde byl naposledy viděn. Modrá šipka značí viditelnou dráhu meteoru.

static map
height profile
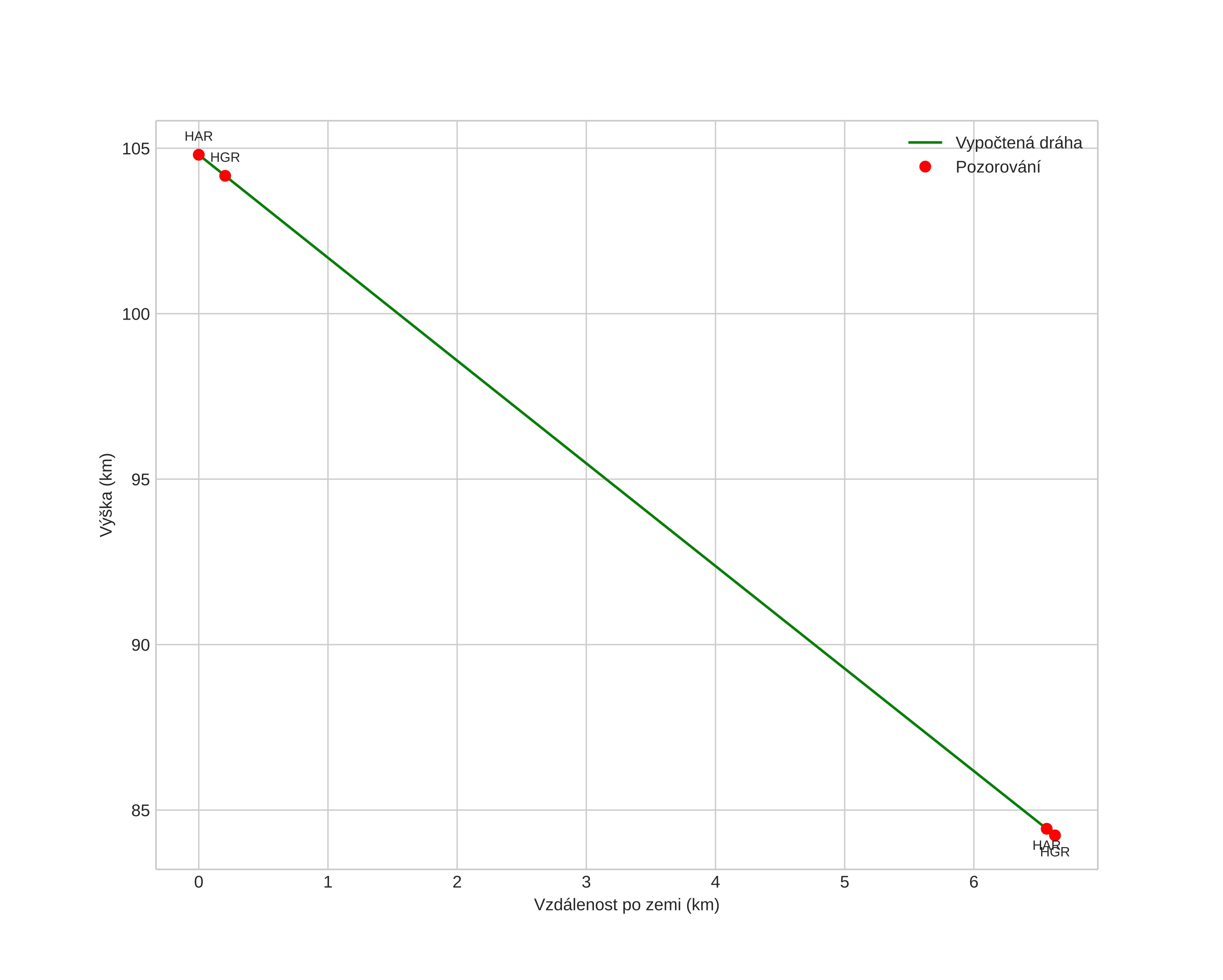
Atmosférická dráha meteoru:
Počáteční výška: 106,4 km
Konečná výška: 83,1 km
Počáteční poloha: 57,378N 9,338E
Konečná poloha: 57,356N 9,372E
Směr: 140,9°
Sklon: 82,2°
VstupnĂ­ rychlost: 60,8 km/s
Rektascenze radiantu: 07:51 (117,8°)
Deklinace radiantu: 62,9°
MeteorickĂ˝ roj: sporadickĂ˝
Elementy dráhy meteoroidu:
Vzdálenost v periheliu: 0,789 AU
Excentricita: 1,296
Sklon dráhy: 103,7°
Délka vzestupného uzlu: 224,9°
Argument perihelia: 230,2°
Střední anomálie: -6,3°
Epocha: 2024 NOV 07 04:54:41
orbit plot

NeinteraktivnĂ­ graf | InteraktivnĂ­ graf

position vs time
speed and acceleration