🇳🇴 🇬🇧 🇩🇪 🇨🇿 🇫🇮

Meteor, poloha: Lampeland 2024-11-07 17:26:39 UTC

Soubor KML  |  InteraktivnĂ­ mapa

Mapa zobrazuje dráhy meteoru. Světlejší čáry ukazují směry od pozorovacích stanic při objevení se meteoru a tmavší čáry, kde byl naposledy viděn. Modrá šipka značí viditelnou dráhu meteoru.

static map
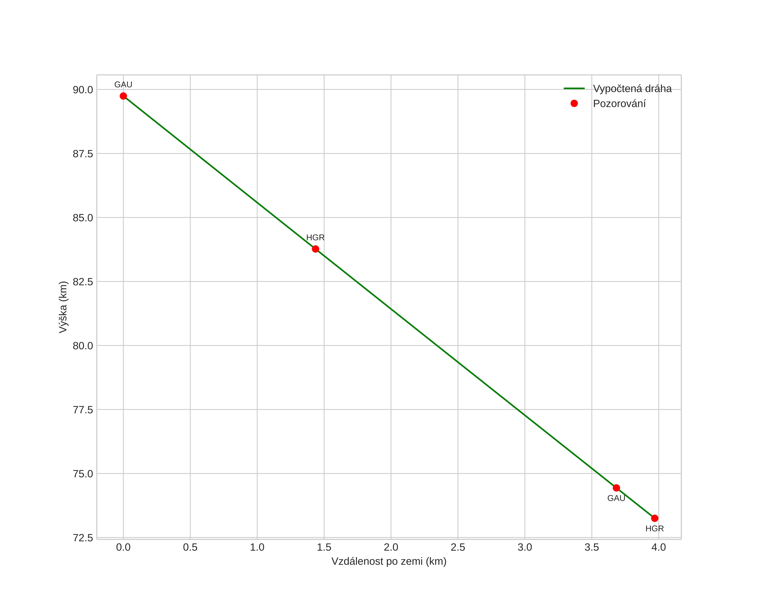
height profile
Atmosférická dráha meteoru:
Počáteční výška: 91,8 km
Konečná výška: 72,8 km
Počáteční poloha: 59,907N 9,519E
Konečná poloha: 59,932N 9,577E
Směr: 49,7°
Sklon: 77,3°
VstupnĂ­ rychlost: 19,8 km/s
Rektascenze radiantu: 20:03 (300,8°)
Deklinace radiantu: 49,2°
MeteorickĂ˝ roj: sporadickĂ˝
Elementy dráhy meteoroidu:
Vzdálenost v periheliu: 0,988 AU
Excentricita: 0,743
Sklon dráhy: 22,5°
Délka vzestupného uzlu: 225,5°
Argument perihelia: 186,1°
Střední anomálie: 359,4°
Epocha: 2024 NOV 07 17:26:39
orbit plot

NeinteraktivnĂ­ graf | InteraktivnĂ­ graf

position vs time
speed and acceleration