🇳🇴 🇬🇧 🇩🇪 🇨🇿 🇫🇮

Meteor, poloha: Dokka 2024-11-07 17:29:24 UTC

Soubor KML  |  InteraktivnĂ­ mapa

Mapa zobrazuje dráhy meteoru. Světlejší čáry ukazují směry od pozorovacích stanic při objevení se meteoru a tmavší čáry, kde byl naposledy viděn. Modrá šipka značí viditelnou dráhu meteoru.

static map
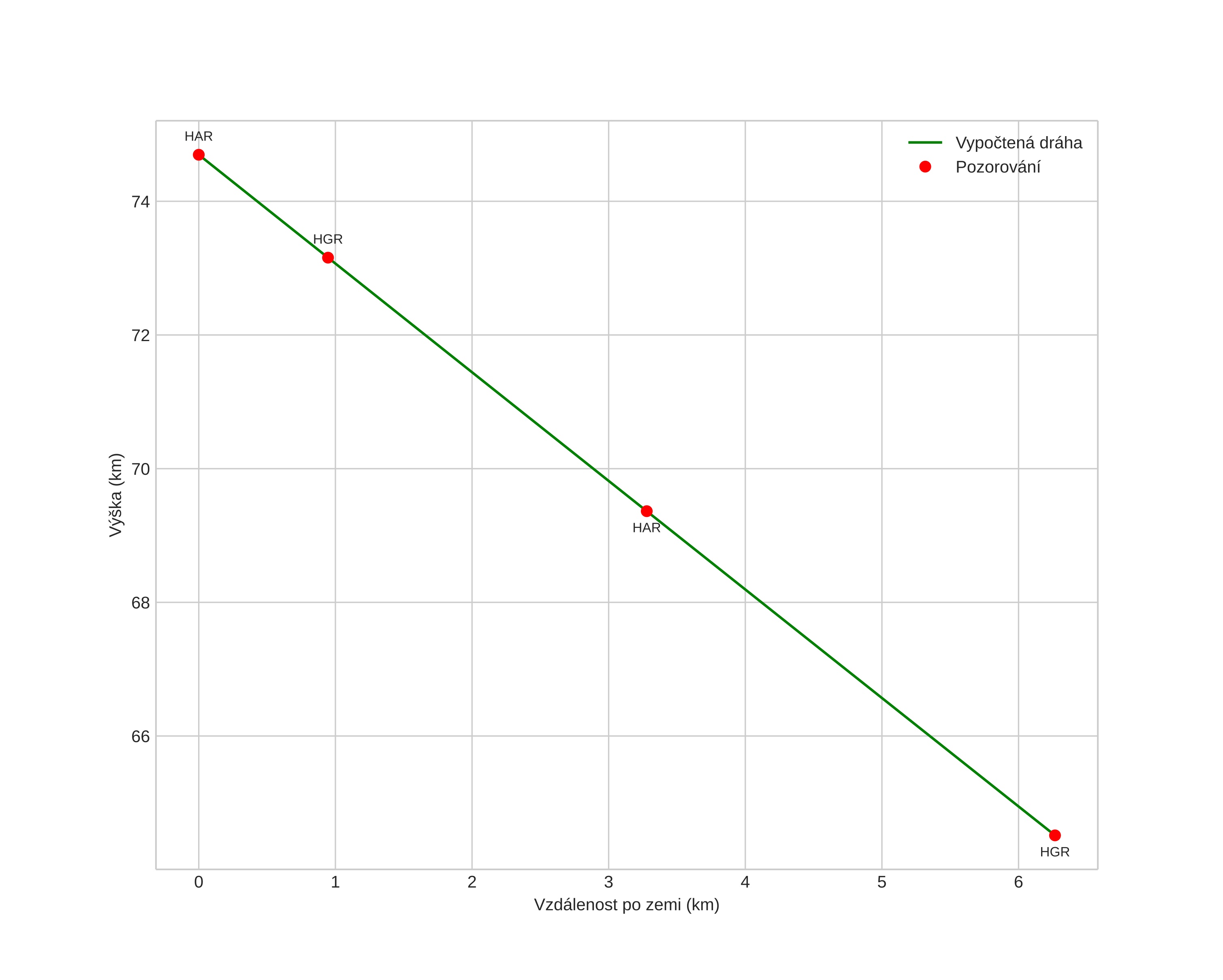
height profile
Atmosférická dráha meteoru:
Počáteční výška: 73,8 km
Konečná výška: 70,3 km
Počáteční poloha: 60,729N 9,908E
Konečná poloha: 60,795N 9,920E
Směr: 4,9°
Sklon: 25,5°
VstupnĂ­ rychlost: 11,7 km/s
Rektascenze radiantu: 20:44 (311,2°)
Deklinace radiantu: -40,4°
MeteorickĂ˝ roj: sporadickĂ˝
Elementy dráhy meteoroidu:
Vzdálenost v periheliu: 0,991 AU
Excentricita: 0,246
Sklon dráhy: 2,3°
Délka vzestupného uzlu: 45,5°
Argument perihelia: 357,2°
Střední anomálie: 1,6°
Epocha: 2024 NOV 07 17:29:24
orbit plot

NeinteraktivnĂ­ graf | InteraktivnĂ­ graf

position vs time
speed and acceleration