🇳🇴 🇬🇧 🇩🇪 🇨🇿 🇫🇮

Meteor, poloha: Langesund 2024-11-07 18:16:20 UTC

Soubor KML  |  InteraktivnĂ­ mapa

Mapa zobrazuje dráhy meteoru. Světlejší čáry ukazují směry od pozorovacích stanic při objevení se meteoru a tmavší čáry, kde byl naposledy viděn. Modrá šipka značí viditelnou dráhu meteoru.

static map
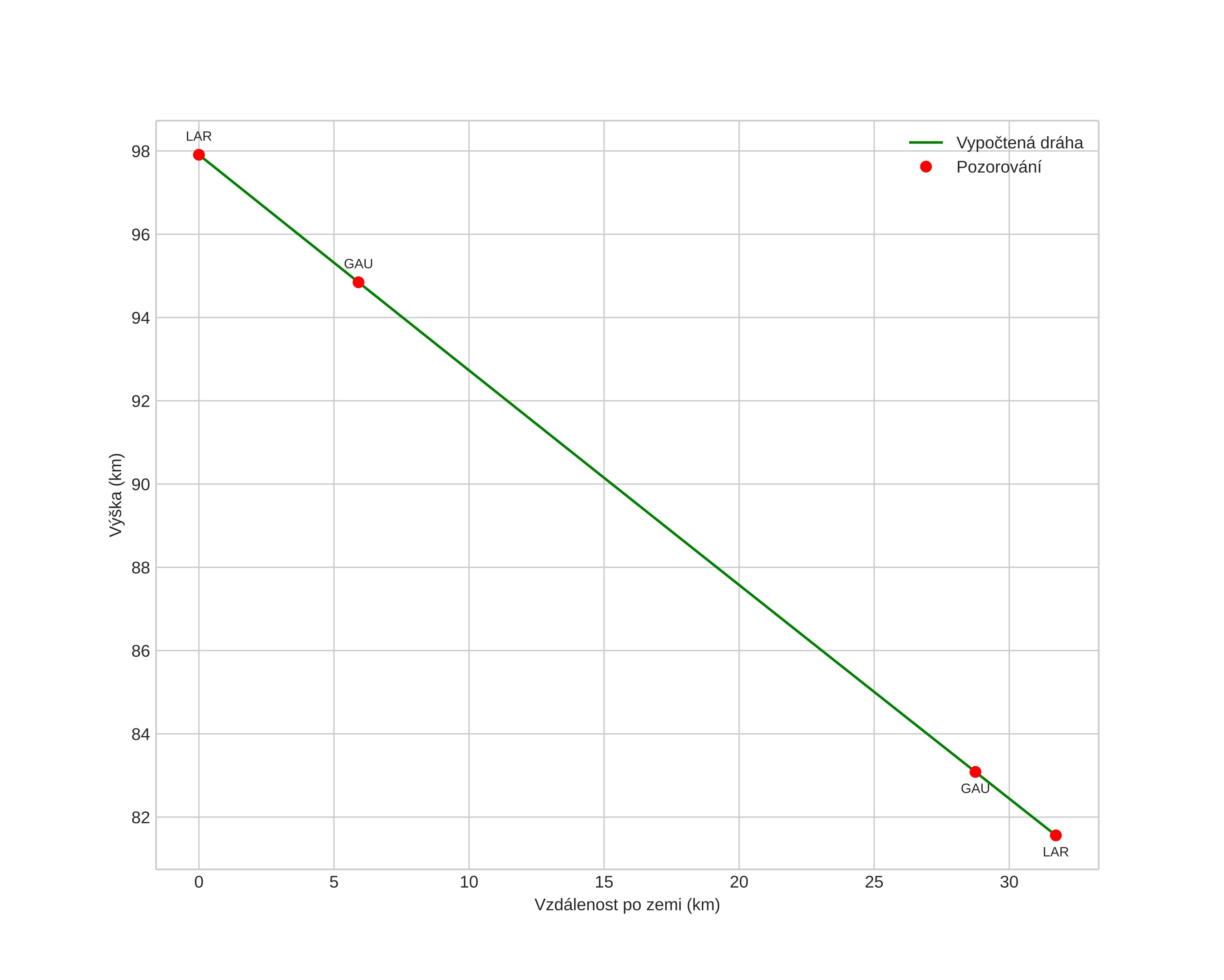
height profile
Atmosférická dráha meteoru:
Počáteční výška: 98,2 km
Konečná výška: 81,5 km
Počáteční poloha: 58,715N 10,433E
Konečná poloha: 58,690N 9,886E
Směr: 265,2°
Sklon: 27,8°
VstupnĂ­ rychlost: 30,0 km/s
Rektascenze radiantu: 03:25 (51,5°)
Deklinace radiantu: 23,8°
MeteorickĂ˝ roj: SevernĂ­ Tauridy
Elementy dráhy meteoroidu:
Vzdálenost v periheliu: 0,395 AU
Excentricita: 0,832
Sklon dráhy: 5,3°
Délka vzestupného uzlu: 225,5°
Argument perihelia: 289,0°
Střední anomálie: 348,3°
Epocha: 2024 NOV 07 18:16:20
orbit plot

NeinteraktivnĂ­ graf | InteraktivnĂ­ graf

position vs time
speed and acceleration

Gaustatoppen (GAU) cam3


gnomonic
Videa
• Gnomonická
• Gnomonická se souřadnicemi
• Původní
• Původní se souřadnicemi
Obrázky
• Gnomonická
• Gnomonická se souřadnicemi
• Původní
• Původní se souřadnicemi
Textové soubory
• Detekce
• Pozorování
• Souřadnice
• Protokol
Jasnost