🇳🇴 🇬🇧 🇩🇪 🇨🇿 🇫🇮

Meteor, poloha: Aure 2024-11-09 21:18:57 UTC

Soubor KML  |  InteraktivnĂ­ mapa

Mapa zobrazuje dráhy meteoru. Světlejší čáry ukazují směry od pozorovacích stanic při objevení se meteoru a tmavší čáry, kde byl naposledy viděn. Modrá šipka značí viditelnou dráhu meteoru.

static map
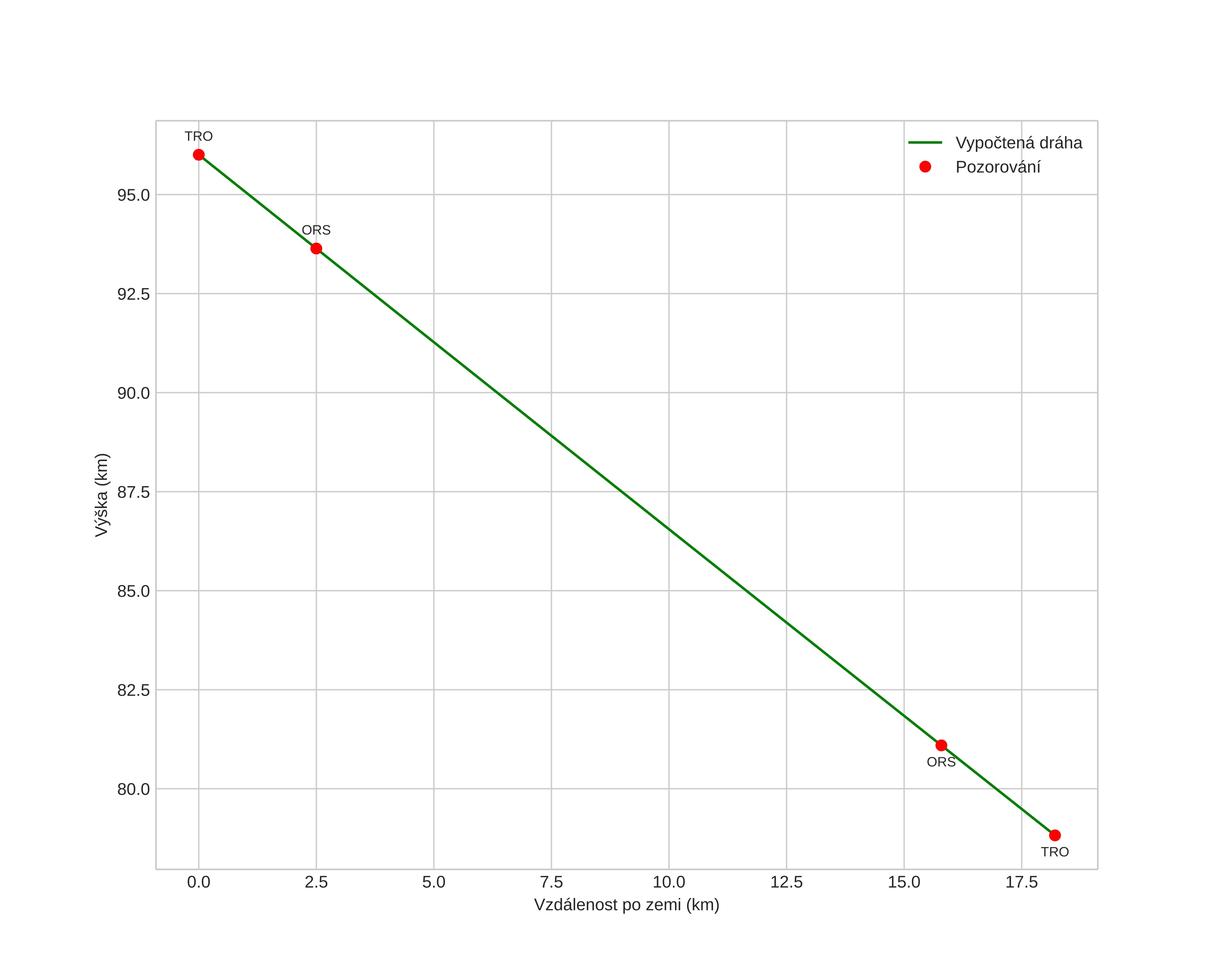
height profile
Atmosférická dráha meteoru:
Počáteční výška: 93,3 km
Konečná výška: 78,6 km
Počáteční poloha: 63,256N 8,719E
Konečná poloha: 63,339N 8,468E
Směr: 306,4°
Sklon: 43,4°
VstupnĂ­ rychlost: 31,2 km/s
Rektascenze radiantu: 03:51 (58,0°)
Deklinace radiantu: 23,2°
MeteorickĂ˝ roj: SevernĂ­ Tauridy
Elementy dráhy meteoroidu:
Vzdálenost v periheliu: 0,331 AU
Excentricita: 0,844
Sklon dráhy: 3,7°
Délka vzestupného uzlu: 227,6°
Argument perihelia: 297,0°
Střední anomálie: 346,7°
Epocha: 2024 NOV 09 21:18:57
orbit plot

NeinteraktivnĂ­ graf | InteraktivnĂ­ graf

position vs time
speed and acceleration