🇳🇴 🇬🇧 🇩🇪 🇨🇿 🇫🇮

Meteor, poloha: LĂĄngshyttan 2024-11-10 03:02:41 UTC

Soubor KML  |  InteraktivnĂ­ mapa

Mapa zobrazuje dráhy meteoru. Světlejší čáry ukazují směry od pozorovacích stanic při objevení se meteoru a tmavší čáry, kde byl naposledy viděn. Modrá šipka značí viditelnou dráhu meteoru.

static map
height profile
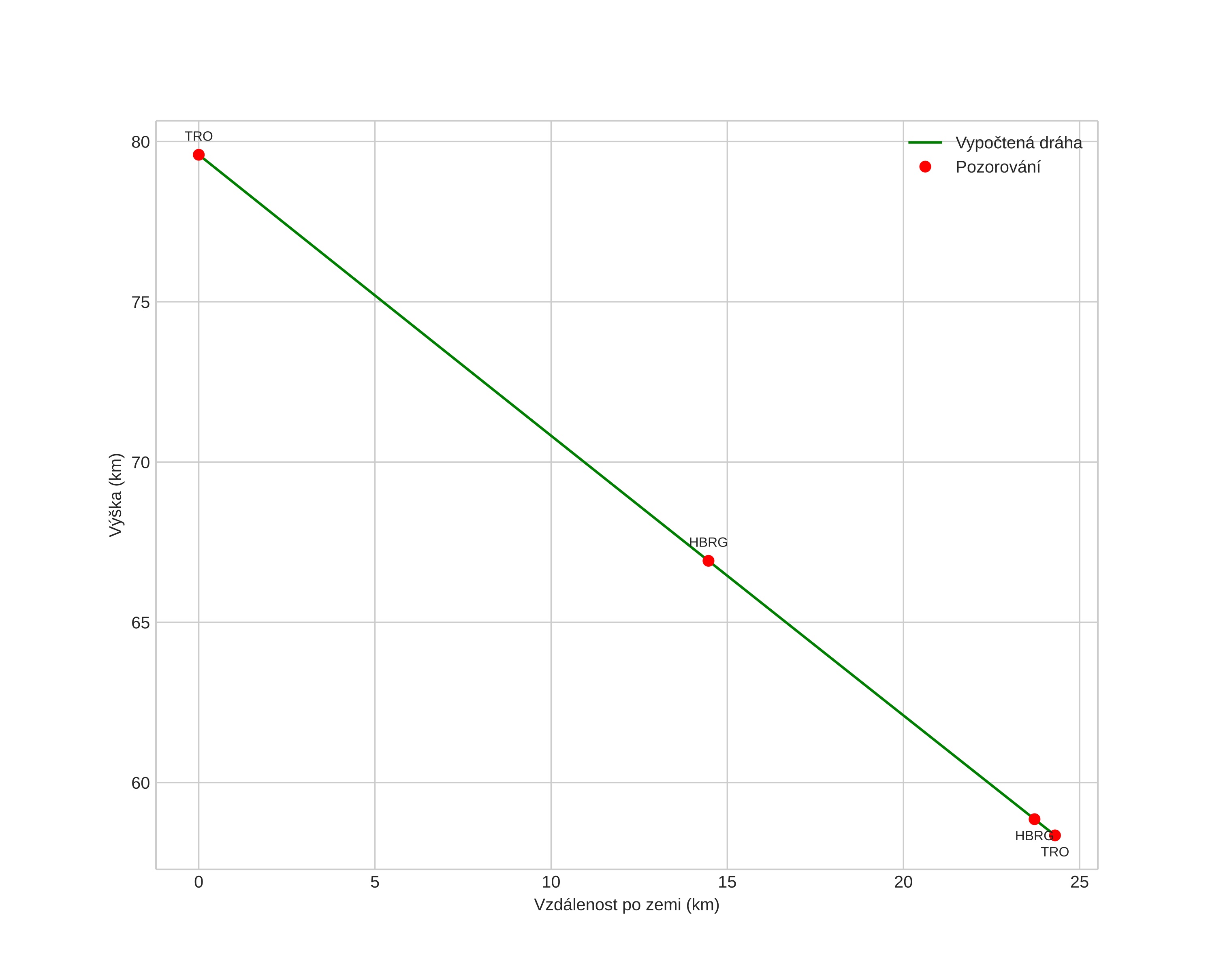
Atmosférická dráha meteoru:
Počáteční výška: 79,5 km
Konečná výška: 58,3 km
Počáteční poloha: 60,650N 15,721E
Konečná poloha: 60,522N 16,079E
Směr: 125,9°
Sklon: 41,2°
VstupnĂ­ rychlost: 21,1 km/s
Rektascenze radiantu: 00:44 (11,2°)
Deklinace radiantu: 48,3°
MeteorickĂ˝ roj: sporadickĂ˝
Elementy dráhy meteoroidu:
Vzdálenost v periheliu: 0,830 AU
Excentricita: 0,696
Sklon dráhy: 18,8°
Délka vzestupného uzlu: 227,9°
Argument perihelia: 232,8°
Střední anomálie: 352,3°
Epocha: 2024 NOV 10 03:02:41
orbit plot

NeinteraktivnĂ­ graf | InteraktivnĂ­ graf

position vs time
speed and acceleration