🇳🇴 🇬🇧 🇩🇪 🇨🇿 🇫🇮

Meteor, poloha: Lyngseidet 2024-11-10 05:19:23 UTC

Soubor KML  |  InteraktivnĂ­ mapa

Mapa zobrazuje dráhy meteoru. Světlejší čáry ukazují směry od pozorovacích stanic při objevení se meteoru a tmavší čáry, kde byl naposledy viděn. Modrá šipka značí viditelnou dráhu meteoru.

static map
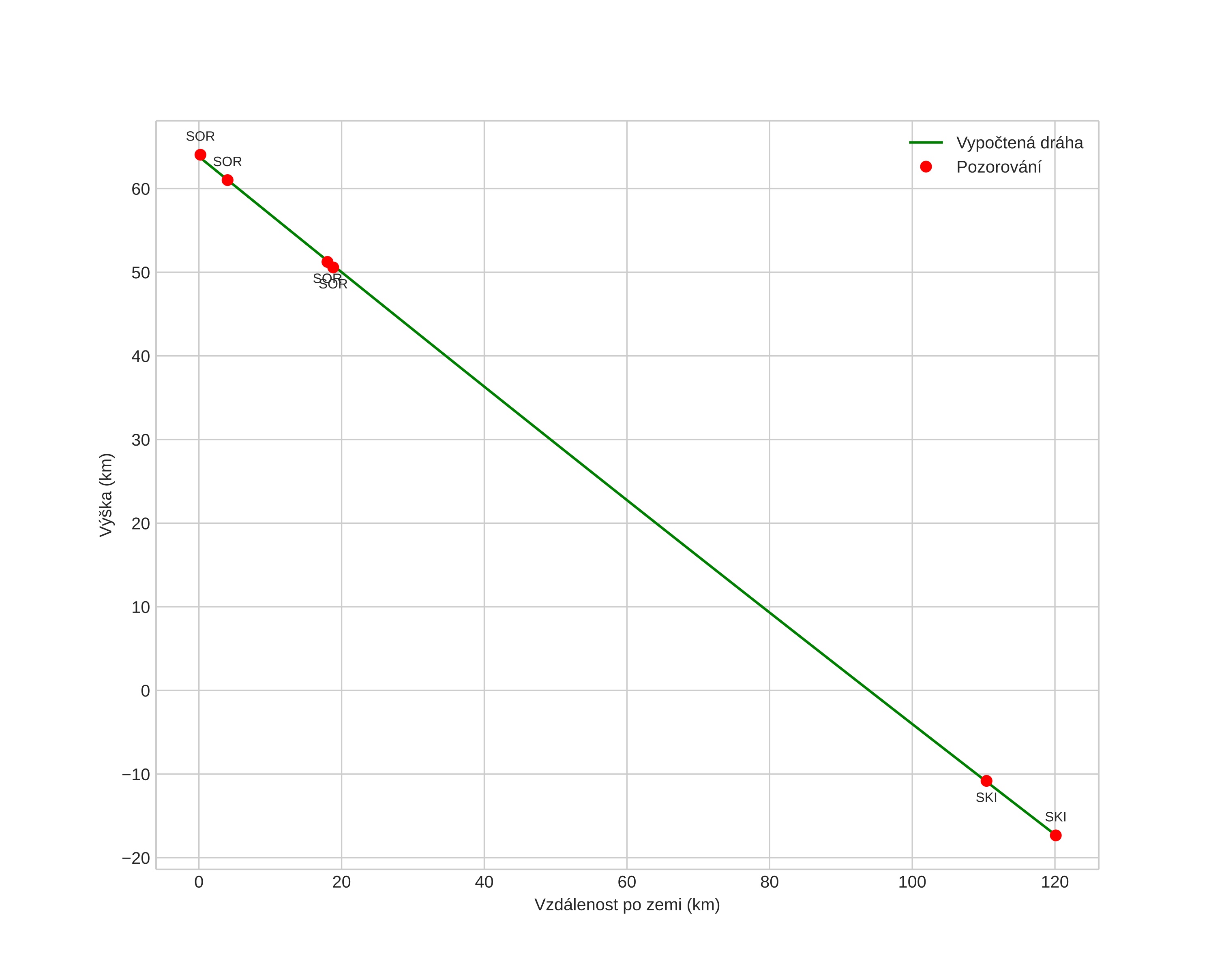
height profile
Atmosférická dráha meteoru:
Počáteční výška: 63,9 km
Konečná výška: 2,2 km
Počáteční poloha: 69,790N 18,186E
Konečná poloha: 69,365N 20,323E
Směr: 118,7°
Sklon: 32,9°
VstupnĂ­ rychlost: 21,3 km/s
Rektascenze radiantu: 02:43 (40,8°)
Deklinace radiantu: 35,5°
MeteorickĂ˝ roj: sporadickĂ˝
Elementy dráhy meteoroidu:
Vzdálenost v periheliu: 0,631 AU
Excentricita: 0,599
Sklon dráhy: 11,2°
Délka vzestupného uzlu: 228,0°
Argument perihelia: 268,1°
Střední anomálie: 335,3°
Epocha: 2024 NOV 10 05:19:23
orbit plot

NeinteraktivnĂ­ graf | InteraktivnĂ­ graf

position vs time
speed and acceleration