🇳🇴 🇬🇧 🇩🇪 🇨🇿 🇫🇮

Meteor, poloha: Tromsø 2024-11-11 04:36:29 UTC

Soubor KML  |  InteraktivnĂ­ mapa

Mapa zobrazuje dráhy meteoru. Světlejší čáry ukazují směry od pozorovacích stanic při objevení se meteoru a tmavší čáry, kde byl naposledy viděn. Modrá šipka značí viditelnou dráhu meteoru.

static map
height profile
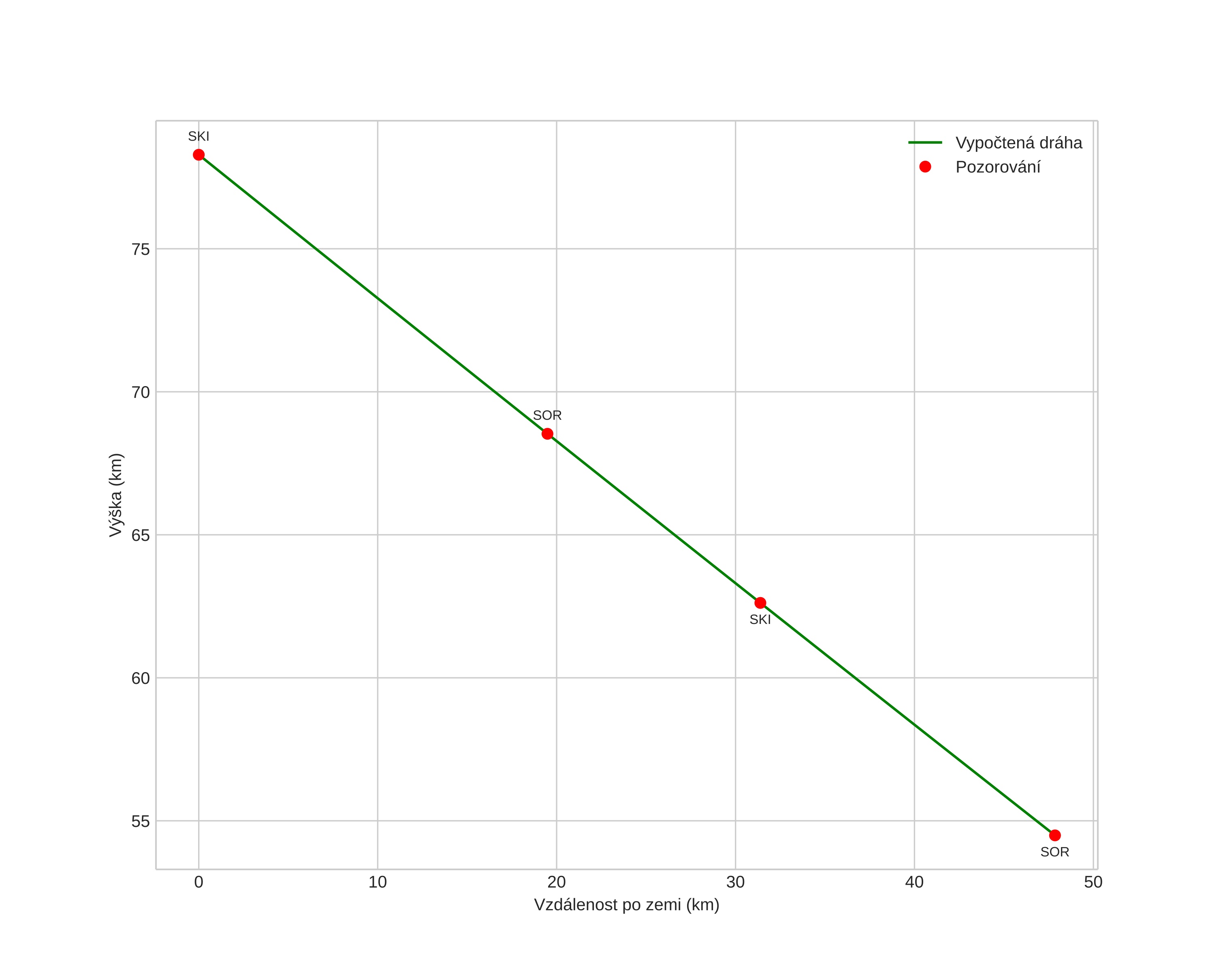
Atmosférická dráha meteoru:
Počáteční výška: 78,2 km
Konečná výška: 54,6 km
Počáteční poloha: 70,750N 20,022E
Konečná poloha: 70,613N 18,791E
Směr: 252,0°
Sklon: 26,3°
VstupnĂ­ rychlost: 20,5 km/s
Rektascenze radiantu: 15:59 (239,8°)
Deklinace radiantu: 25,1°
MeteorickĂ˝ roj: sporadickĂ˝
Elementy dráhy meteoroidu:
Vzdálenost v periheliu: 0,802 AU
Excentricita: 0,470
Sklon dráhy: 21,5°
Délka vzestupného uzlu: 228,9°
Argument perihelia: 113,9°
Střední anomálie: 24,4°
Epocha: 2024 NOV 11 04:36:29
orbit plot

NeinteraktivnĂ­ graf | InteraktivnĂ­ graf

position vs time
speed and acceleration