🇳🇴 🇬🇧 🇩🇪 🇨🇿 🇫🇮

Meteor, poloha: Dokka 2024-11-11 18:15:35 UTC

Soubor KML  |  InteraktivnĂ­ mapa

Mapa zobrazuje dráhy meteoru. Světlejší čáry ukazují směry od pozorovacích stanic při objevení se meteoru a tmavší čáry, kde byl naposledy viděn. Modrá šipka značí viditelnou dráhu meteoru.

static map
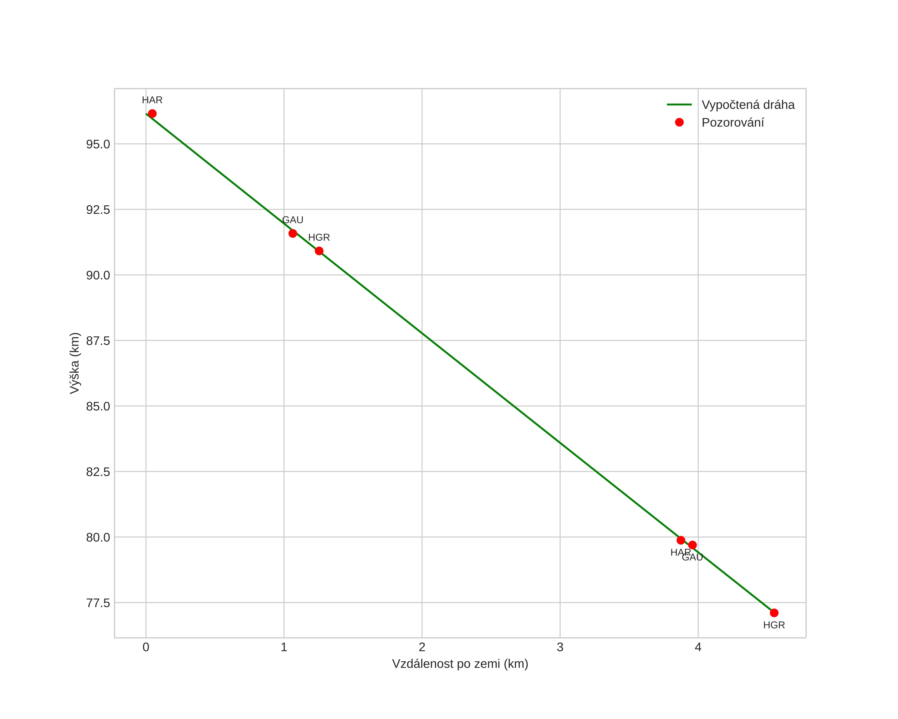
height profile
Atmosférická dráha meteoru:
Počáteční výška: 96,2 km
Konečná výška: 76,8 km
Počáteční poloha: 60,702N 9,972E
Konečná poloha: 60,719N 9,898E
Směr: 294,9°
Sklon: 77,1°
VstupnĂ­ rychlost: 20,9 km/s
Rektascenze radiantu: 23:39 (354,9°)
Deklinace radiantu: 52,7°
MeteorickĂ˝ roj: sporadickĂ˝
Elementy dráhy meteoroidu:
Vzdálenost v periheliu: 0,898 AU
Excentricita: 0,733
Sklon dráhy: 20,7°
Délka vzestupného uzlu: 229,5°
Argument perihelia: 218,6°
Střední anomálie: 355,7°
Epocha: 2024 NOV 11 18:15:35
orbit plot

NeinteraktivnĂ­ graf | InteraktivnĂ­ graf

position vs time
speed and acceleration