🇳🇴 🇬🇧 🇩🇪 🇨🇿 🇫🇮

Meteor, poloha: Rjukan 2024-11-11 18:26:39 UTC

Soubor KML  |  InteraktivnĂ­ mapa

Mapa zobrazuje dráhy meteoru. Světlejší čáry ukazují směry od pozorovacích stanic při objevení se meteoru a tmavší čáry, kde byl naposledy viděn. Modrá šipka značí viditelnou dráhu meteoru.

static map
height profile
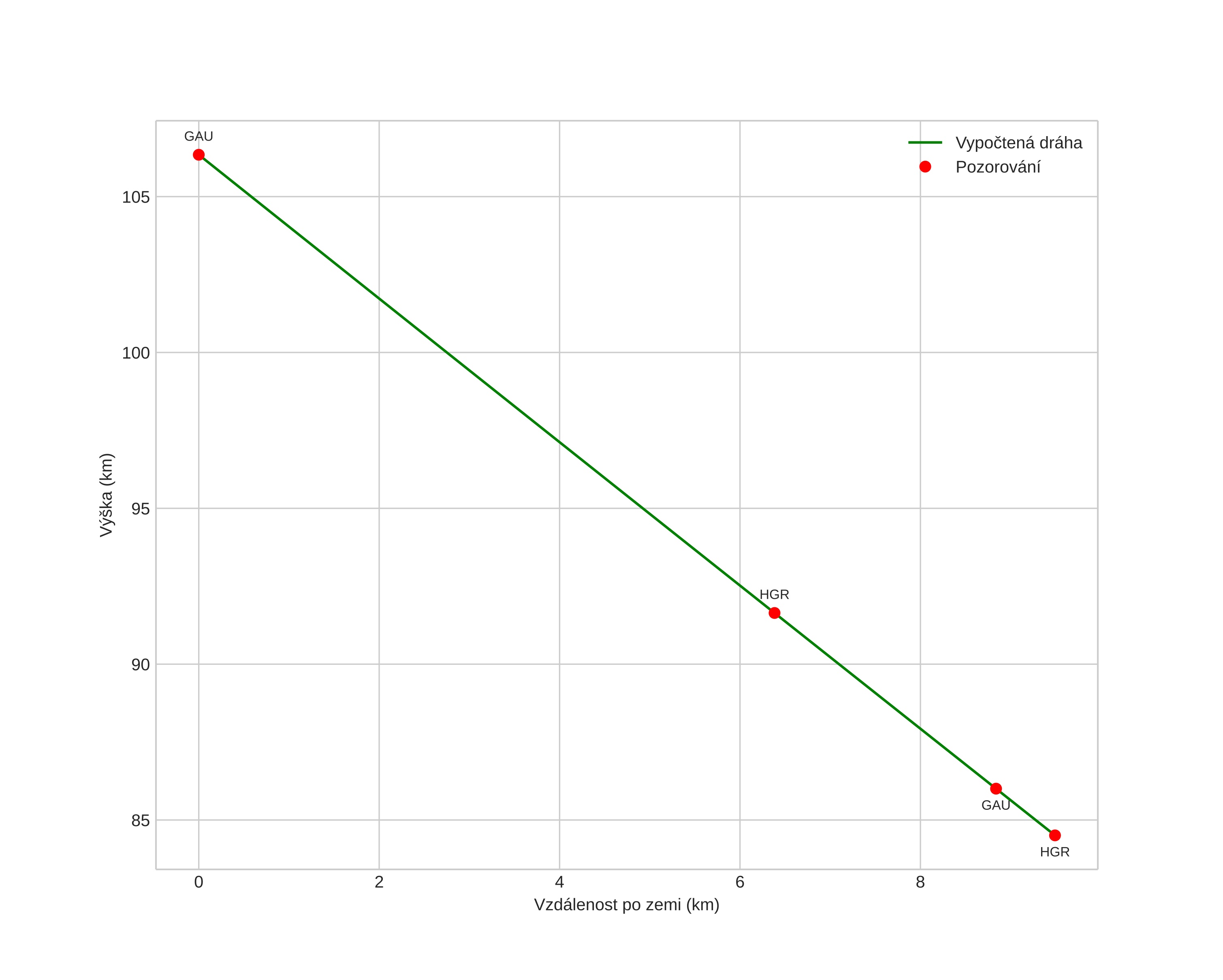
Atmosférická dráha meteoru:
Počáteční výška: 106,2 km
Konečná výška: 84,3 km
Počáteční poloha: 60,072N 8,294E
Konečná poloha: 60,017N 8,165E
Směr: 229,7°
Sklon: 66,7°
VstupnĂ­ rychlost: 34,9 km/s
Rektascenze radiantu: 01:54 (28,5°)
Deklinace radiantu: 67,5°
MeteorickĂ˝ roj: sporadickĂ˝
Elementy dráhy meteoroidu:
Vzdálenost v periheliu: 0,753 AU
Excentricita: 1,033
Sklon dráhy: 43,4°
Délka vzestupného uzlu: 229,5°
Argument perihelia: 238,0°
Střední anomálie: -0,3°
Epocha: 2024 NOV 11 18:26:39
orbit plot

NeinteraktivnĂ­ graf | InteraktivnĂ­ graf

position vs time
speed and acceleration