🇳🇴 🇬🇧 🇩🇪 🇨🇿 🇫🇮

Meteor, poloha: Hurdal 2024-11-11 18:29:06 UTC

Soubor KML  |  InteraktivnĂ­ mapa

Mapa zobrazuje dráhy meteoru. Světlejší čáry ukazují směry od pozorovacích stanic při objevení se meteoru a tmavší čáry, kde byl naposledy viděn. Modrá šipka značí viditelnou dráhu meteoru.

static map
height profile
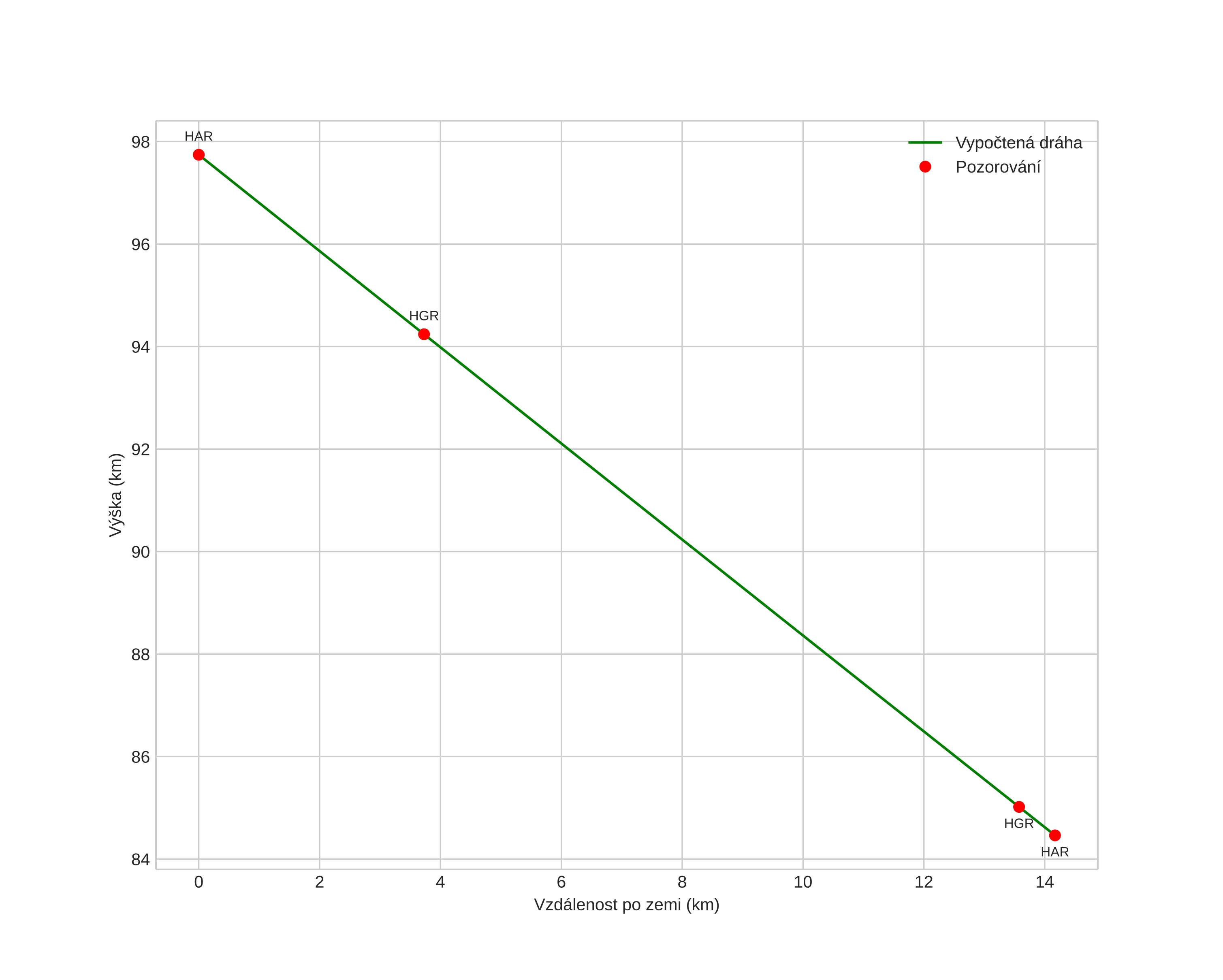
Atmosférická dráha meteoru:
Počáteční výška: 97,2 km
Konečná výška: 82,8 km
Počáteční poloha: 60,521N 11,221E
Konečná poloha: 60,400N 11,119E
Směr: 202,6°
Sklon: 44,7°
VstupnĂ­ rychlost: 54,8 km/s
Rektascenze radiantu: 07:18 (109,6°)
Deklinace radiantu: 69,1°
MeteorickĂ˝ roj: sporadickĂ˝
Elementy dráhy meteoroidu:
Vzdálenost v periheliu: 0,742 AU
Excentricita: 1,240
Sklon dráhy: 87,7°
Délka vzestupného uzlu: 229,5°
Argument perihelia: 236,7°
Střední anomálie: -5,5°
Epocha: 2024 NOV 11 18:29:06
orbit plot

NeinteraktivnĂ­ graf | InteraktivnĂ­ graf

position vs time
speed and acceleration