🇳🇴 🇬🇧 🇩🇪 🇨🇿 🇫🇮

Meteor, poloha: Farnes 2024-11-11 20:08:55 UTC

Soubor KML  |  InteraktivnĂ­ mapa

Mapa zobrazuje dráhy meteoru. Světlejší čáry ukazují směry od pozorovacích stanic při objevení se meteoru a tmavší čáry, kde byl naposledy viděn. Modrá šipka značí viditelnou dráhu meteoru.

static map
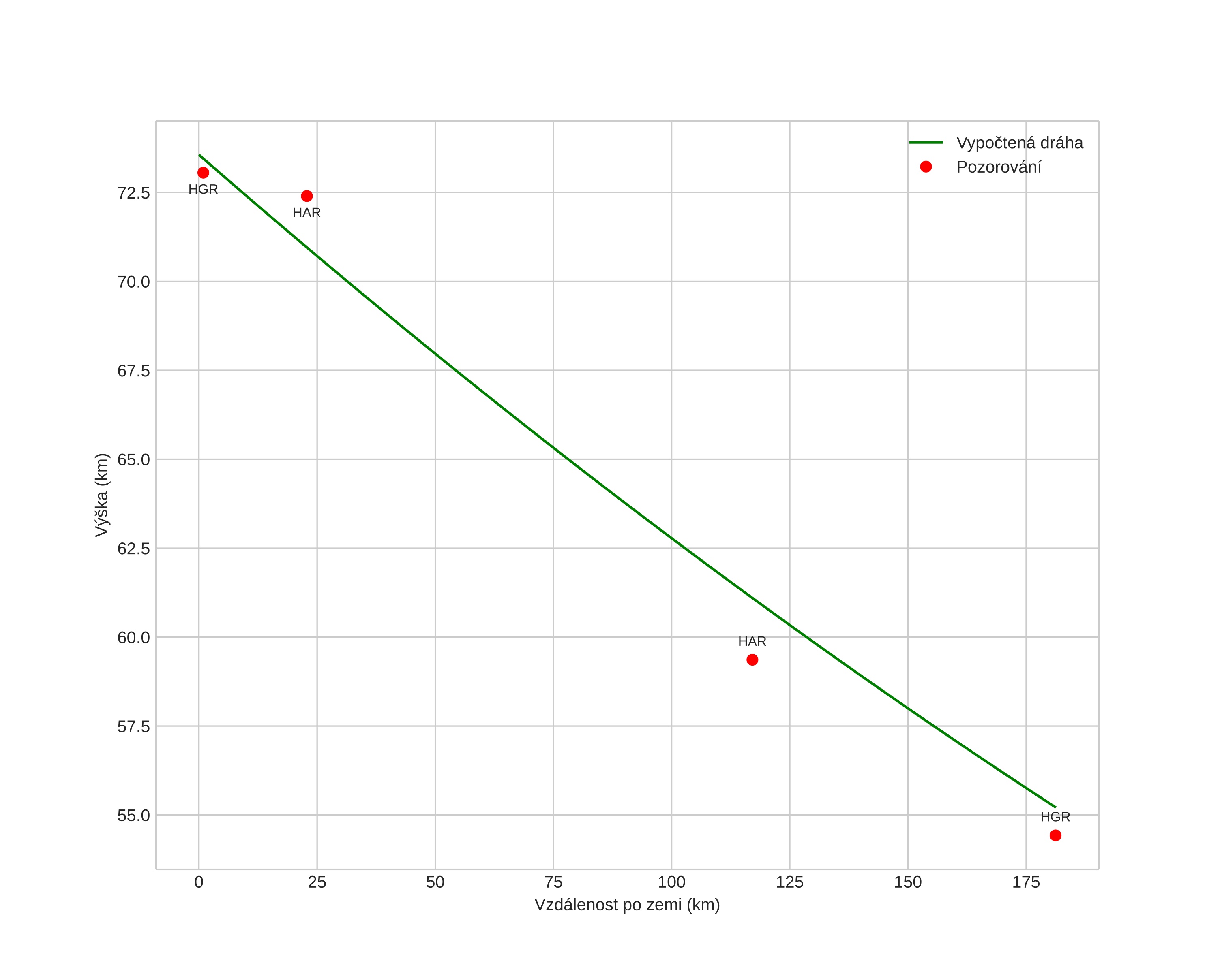
height profile
Atmosférická dráha meteoru:
Počáteční výška: 74,4 km
Konečná výška: 48,3 km
Počáteční poloha: 61,928N 4,170E
Konečná poloha: 61,249N 8,057E
Směr: 108,4°
Sklon: 6,8°
orbit plot
position vs time
speed and acceleration