🇳🇴 🇬🇧 🇩🇪 🇨🇿 🇫🇮

Meteor, poloha: Rødberg 2024-11-11 20:50:05 UTC

Soubor KML  |  InteraktivnĂ­ mapa

Mapa zobrazuje dráhy meteoru. Světlejší čáry ukazují směry od pozorovacích stanic při objevení se meteoru a tmavší čáry, kde byl naposledy viděn. Modrá šipka značí viditelnou dráhu meteoru.

static map
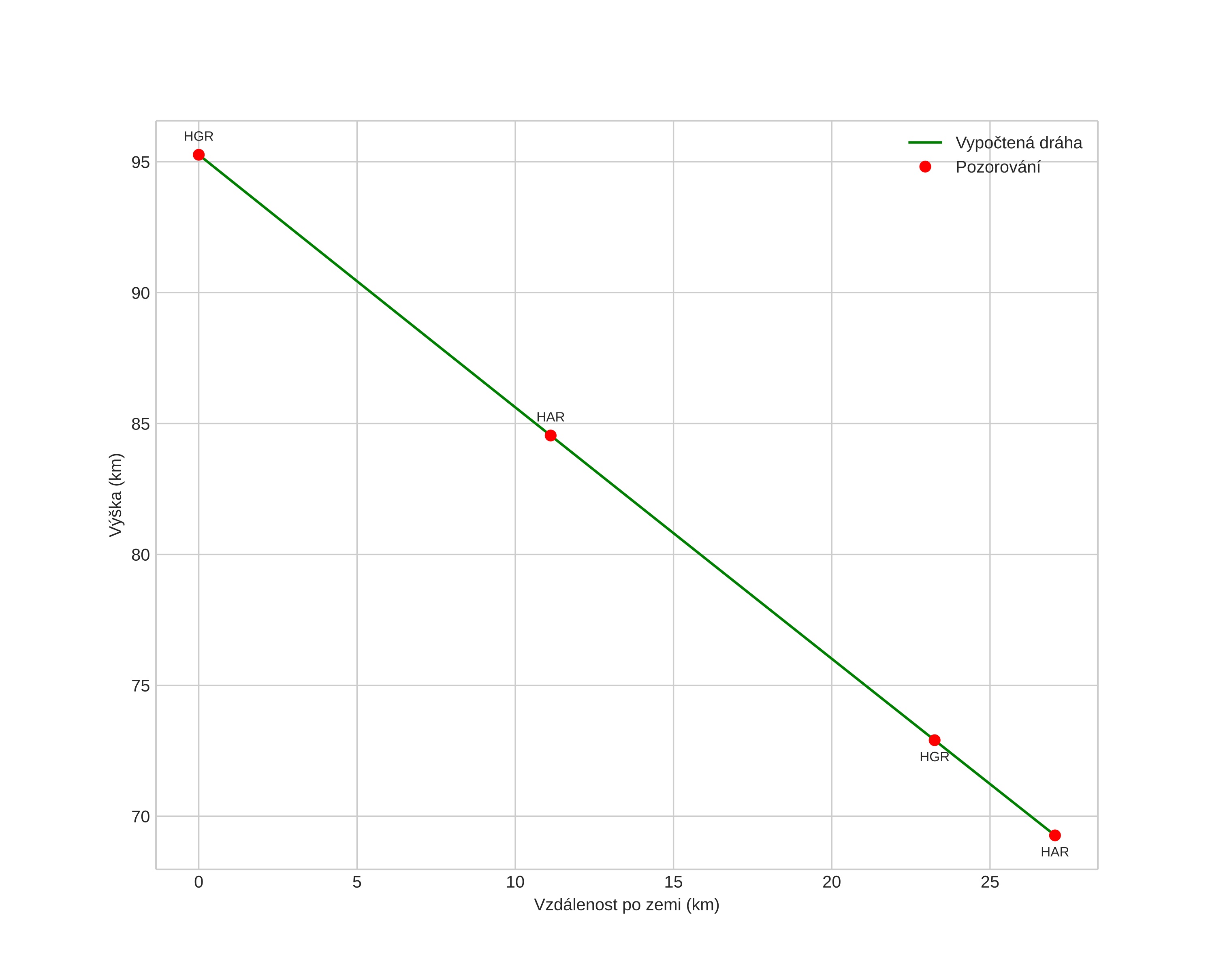
height profile
Atmosférická dráha meteoru:
Počáteční výška: 95,2 km
Konečná výška: 69,3 km
Počáteční poloha: 60,045N 9,428E
Konečná poloha: 60,167N 9,004E
Směr: 300,2°
Sklon: 43,7°
VstupnĂ­ rychlost: 30,1 km/s
Rektascenze radiantu: 03:47 (56,9°)
Deklinace radiantu: 23,1°
MeteorickĂ˝ roj: SevernĂ­ Tauridy
Elementy dráhy meteoroidu:
Vzdálenost v periheliu: 0,383 AU
Excentricita: 0,833
Sklon dráhy: 3,4°
Délka vzestupného uzlu: 229,6°
Argument perihelia: 290,5°
Střední anomálie: 347,9°
Epocha: 2024 NOV 11 20:50:05
orbit plot

NeinteraktivnĂ­ graf | InteraktivnĂ­ graf

position vs time
speed and acceleration