🇳🇴 🇬🇧 🇩🇪 🇨🇿 🇫🇮

Meteor, poloha: Farnes 2024-11-11 21:30:14 UTC

Soubor KML  |  InteraktivnĂ­ mapa

Mapa zobrazuje dráhy meteoru. Světlejší čáry ukazují směry od pozorovacích stanic při objevení se meteoru a tmavší čáry, kde byl naposledy viděn. Modrá šipka značí viditelnou dráhu meteoru.

static map
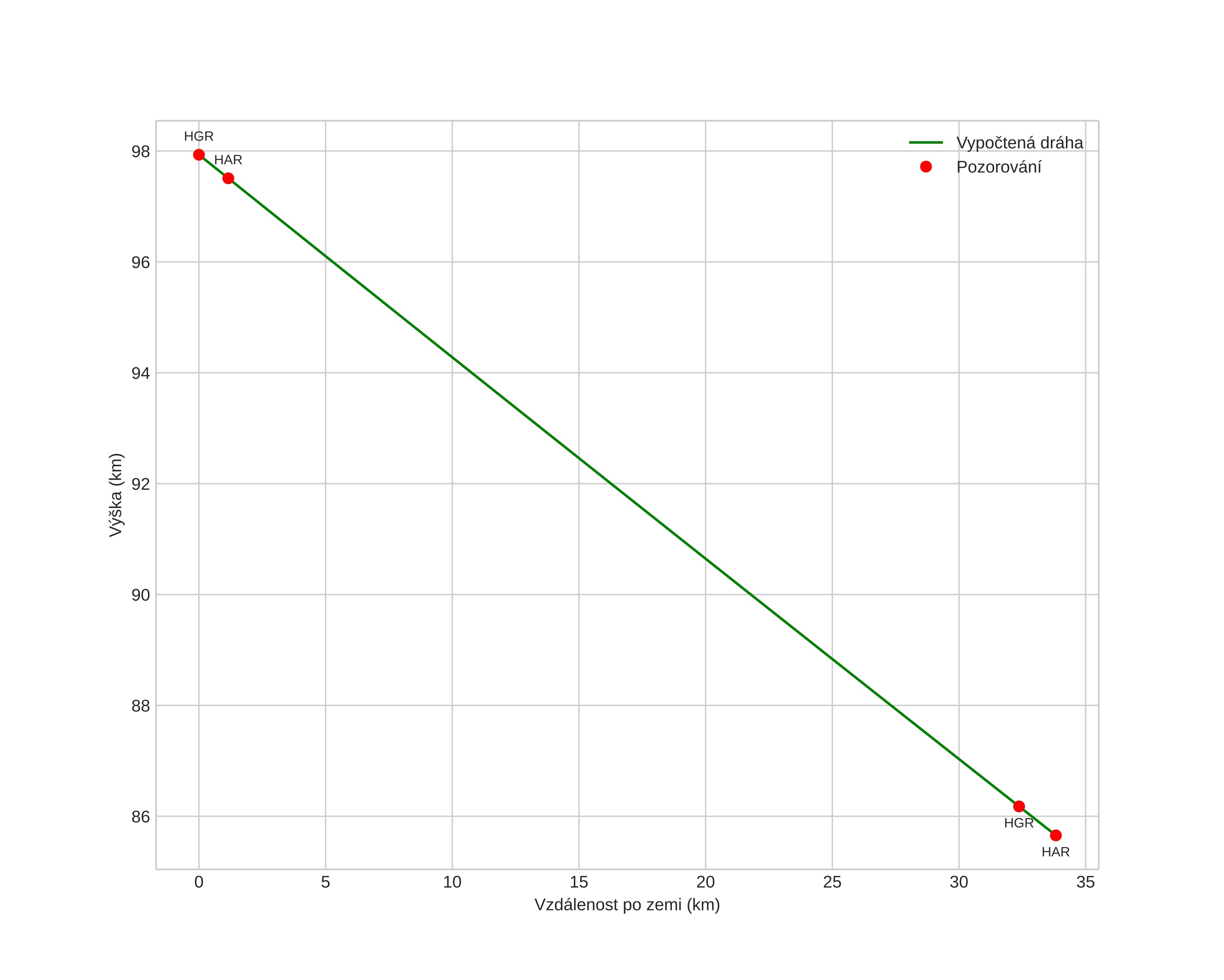
height profile
Atmosférická dráha meteoru:
Počáteční výška: 98,1 km
Konečná výška: 85,2 km
Počáteční poloha: 61,310N 8,393E
Konečná poloha: 61,335N 7,768E
Směr: 275,1°
Sklon: 21,1°
VstupnĂ­ rychlost: 61,4 km/s
Rektascenze radiantu: 06:29 (97,4°)
Deklinace radiantu: 15,5°
MeteorickĂ˝ roj: sporadickĂ˝
Elementy dráhy meteoroidu:
Vzdálenost v periheliu: 0,143 AU
Excentricita: 1,019
Sklon dráhy: 149,8°
Délka vzestupného uzlu: 49,6°
Argument perihelia: 134,0°
Střední anomálie: -1,5°
Epocha: 2024 NOV 11 21:30:14
orbit plot

NeinteraktivnĂ­ graf | InteraktivnĂ­ graf

position vs time
speed and acceleration