🇳🇴 🇬🇧 🇩🇪 🇨🇿 🇫🇮

Meteor, poloha: Hønefoss 2024-11-11 21:47:23 UTC

Soubor KML  |  InteraktivnĂ­ mapa

Mapa zobrazuje dráhy meteoru. Světlejší čáry ukazují směry od pozorovacích stanic při objevení se meteoru a tmavší čáry, kde byl naposledy viděn. Modrá šipka značí viditelnou dráhu meteoru.

static map
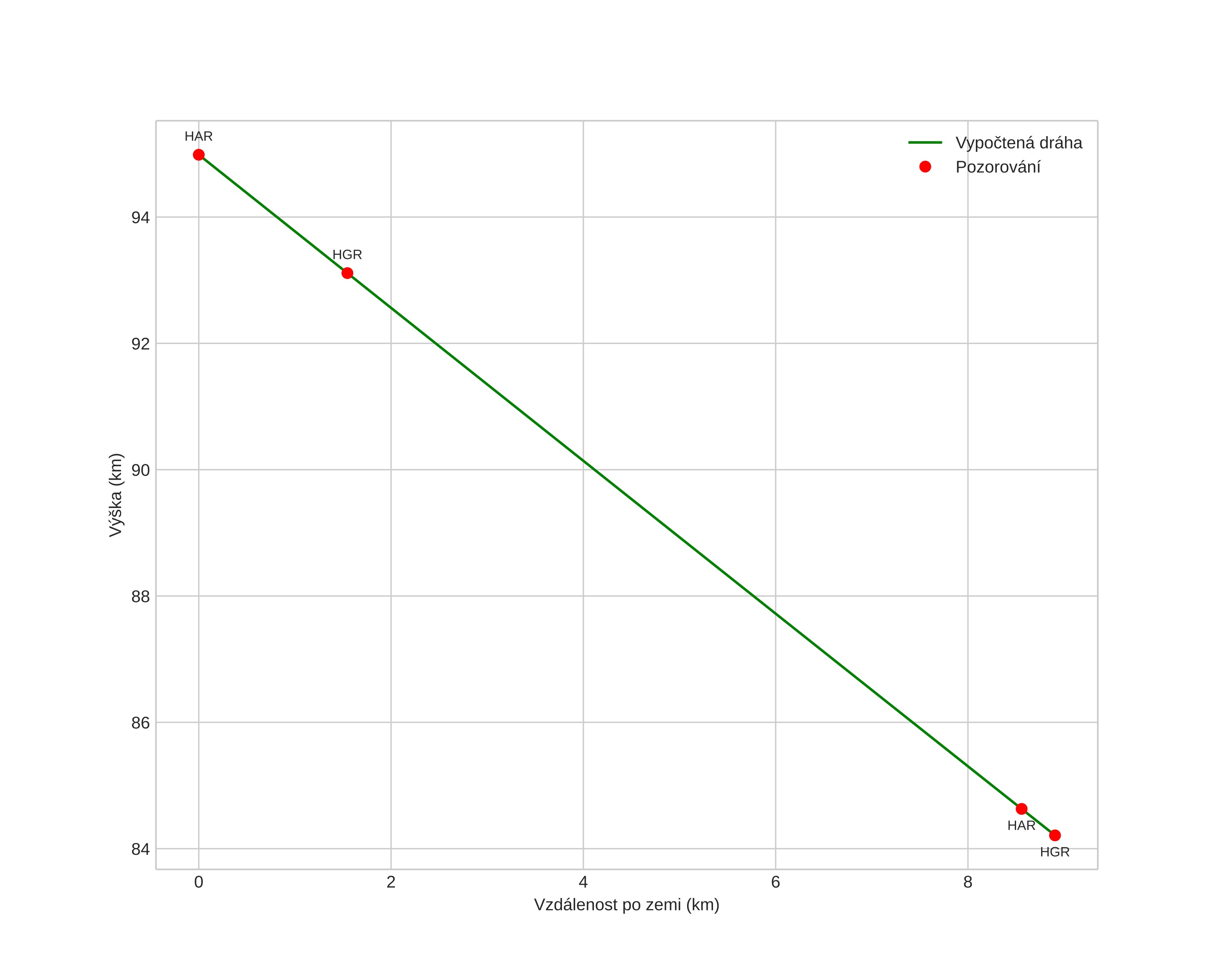
height profile
Atmosférická dráha meteoru:
Počáteční výška: 96,1 km
Konečná výška: 84,8 km
Počáteční poloha: 60,031N 10,250E
Konečná poloha: 60,094N 10,125E
Směr: 315,2°
Sklon: 48,9°
VstupnĂ­ rychlost: 28,5 km/s
Rektascenze radiantu: 03:56 (59,1°)
Deklinace radiantu: 23,1°
MeteorickĂ˝ roj: SevernĂ­ Tauridy
Elementy dráhy meteoroidu:
Vzdálenost v periheliu: 0,376 AU
Excentricita: 0,784
Sklon dráhy: 2,8°
Délka vzestupného uzlu: 229,6°
Argument perihelia: 294,4°
Střední anomálie: 340,8°
Epocha: 2024 NOV 11 21:47:23
orbit plot

NeinteraktivnĂ­ graf | InteraktivnĂ­ graf

position vs time
speed and acceleration