🇳🇴 🇬🇧 🇩🇪 🇨🇿 🇫🇮

Meteor Kirkenærin yllä 2024-11-11 22:40:55 UTC

KML-tiedosto  |  Interaktiivinen kartta

Kartta näyttää meteorin suuntahavainnot. Vaaleammat viivat näyttävät suunnat havaintoasemilta meteorin ilmestyessä, ja tummemmat viivat näyttävät, missä se viimeksi nähtiin. Sininen nuoli näyttää meteorin näkyvän lennon.

static map
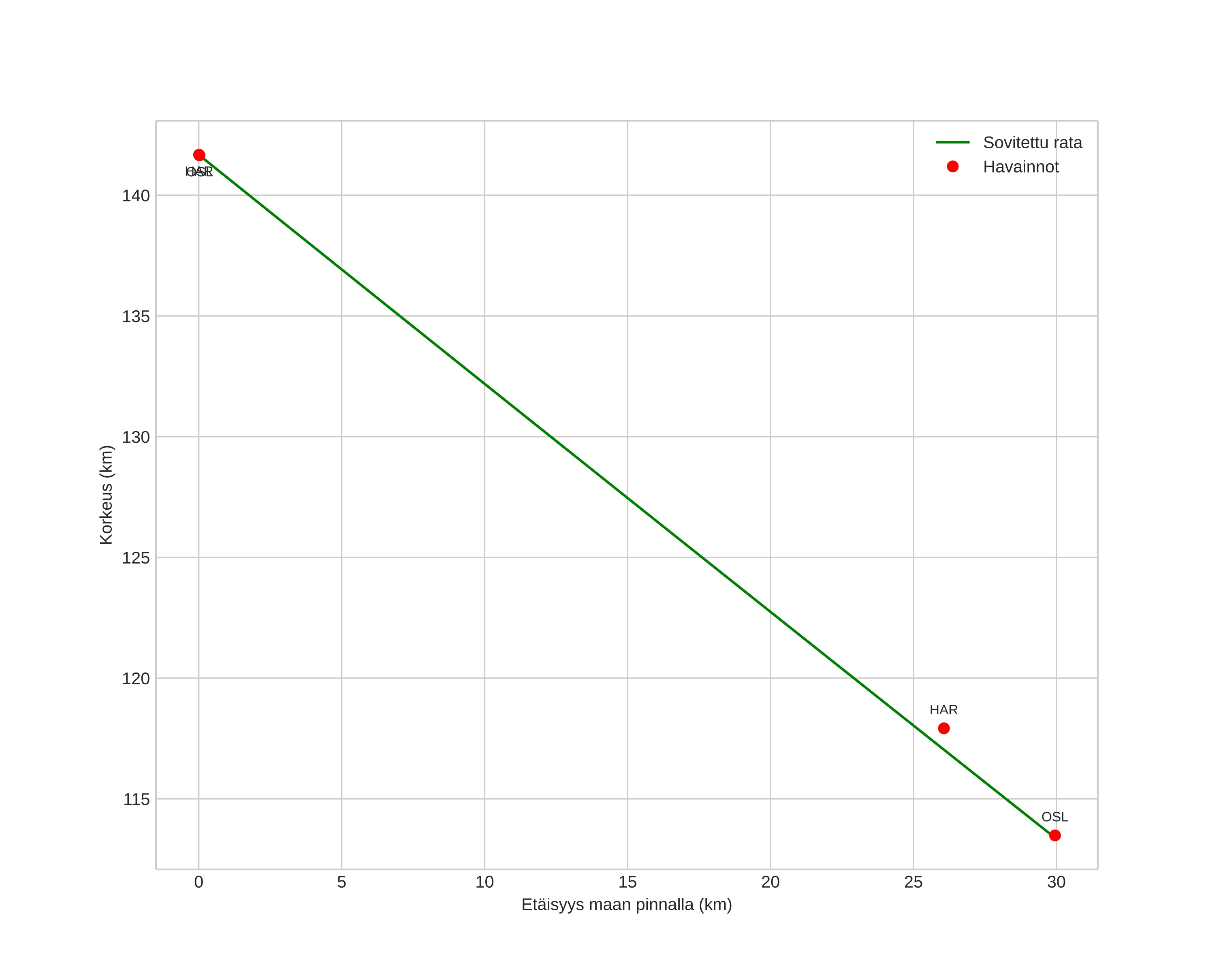
height profile
Meteorin ilmakehärata:
Alkukorkeus: 131,7 km
Loppukorkeus: 120,5 km
Alkupiste: 60,603N 13,021E
Loppupiste: 60,347N 11,964E
Suunta: 244,3°
Kallistuskulma: 9,9°
Tulonopeus: 72,6 km/s
Radiantin R,A,: 10:10 (152,7°)
Radiantin Dekl,: 20,7°
Meteoriparvi: Leonidit
Meteoroidin rataelementit:
Perihelietäisyys: 0,946 AU
Eksentrisyys: 1,008
Inklinaatio: 164,7°
Nousevan solmun pituus: 229,7°
Perihelin argumentti: 155,9°
Keskianomalia: 0,0°
Epookki: 2024 NOV 11 22:40:55
orbit plot

Ei-interaktiivinen kuvaaja | Interaktiivinen kuvaaja

position vs time
speed and acceleration