🇳🇴 🇬🇧 🇩🇪 🇨🇿 🇫🇮

Meteor, poloha: Vik 2024-11-11 23:01:31 UTC

Soubor KML  |  InteraktivnĂ­ mapa

Mapa zobrazuje dráhy meteoru. Světlejší čáry ukazují směry od pozorovacích stanic při objevení se meteoru a tmavší čáry, kde byl naposledy viděn. Modrá šipka značí viditelnou dráhu meteoru.

static map
height profile
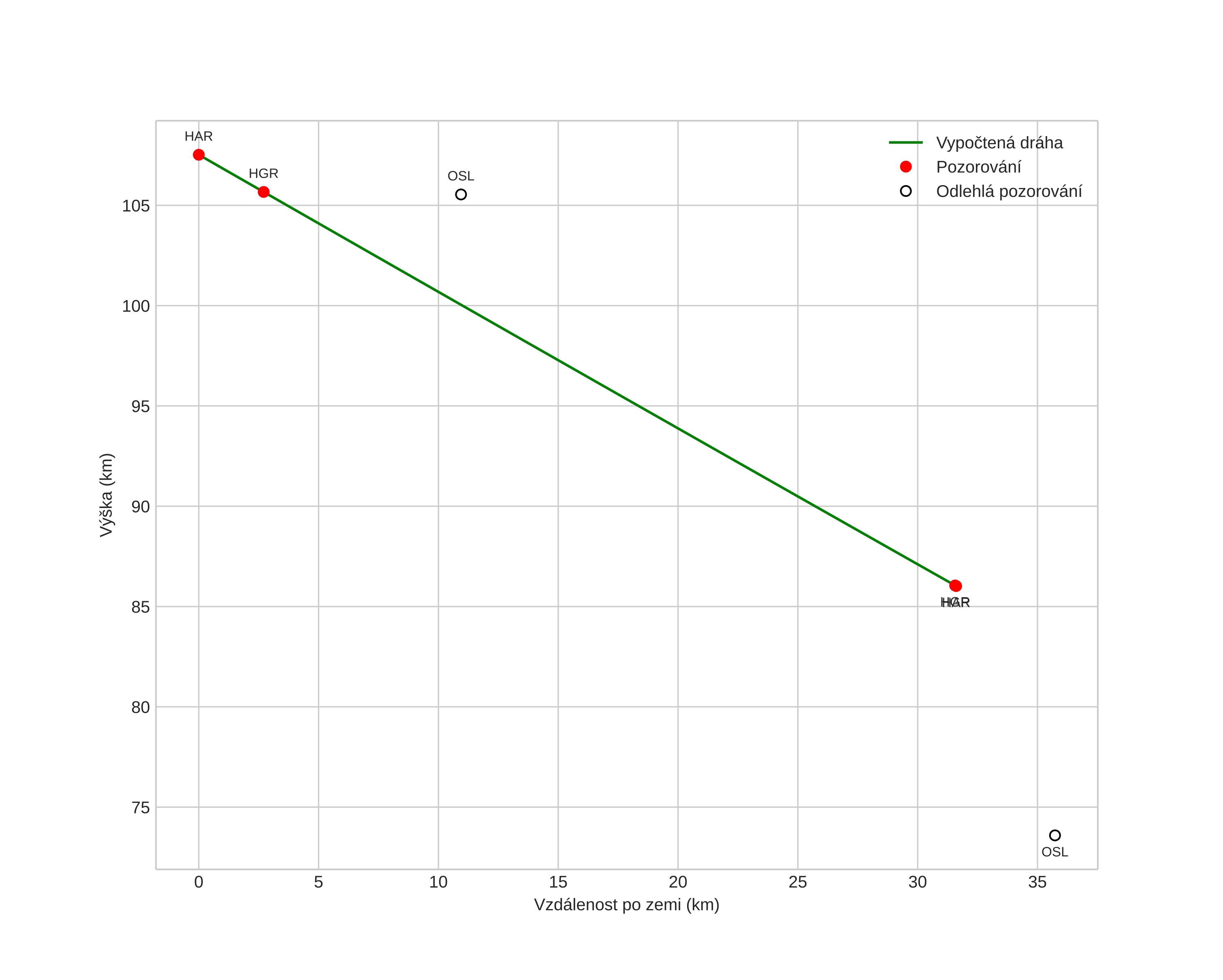
Atmosférická dráha meteoru:
Počáteční výška: 105,7 km
Konečná výška: 86,0 km
Počáteční poloha: 60,900N 7,172E
Konečná poloha: 60,852N 6,599E
Směr: 260,5°
Sklon: 32,1°
VstupnĂ­ rychlost: 71,7 km/s
Rektascenze radiantu: 08:18 (124,5°)
Deklinace radiantu: 31,9°
MeteorickĂ˝ roj: sporadickĂ˝
Elementy dráhy meteoroidu:
Vzdálenost v periheliu: 0,721 AU
Excentricita: 1,184
Sklon dráhy: 157,1°
Délka vzestupného uzlu: 229,7°
Argument perihelia: 240,1°
Střední anomálie: -4,0°
Epocha: 2024 NOV 11 23:01:31
orbit plot

NeinteraktivnĂ­ graf | InteraktivnĂ­ graf

position vs time
speed and acceleration