🇳🇴 🇬🇧 🇩🇪 🇨🇿 🇫🇮

Meteor, poloha: Malung 2024-11-11 23:41:07 UTC

Soubor KML  |  InteraktivnĂ­ mapa

Mapa zobrazuje dráhy meteoru. Světlejší čáry ukazují směry od pozorovacích stanic při objevení se meteoru a tmavší čáry, kde byl naposledy viděn. Modrá šipka značí viditelnou dráhu meteoru.

static map
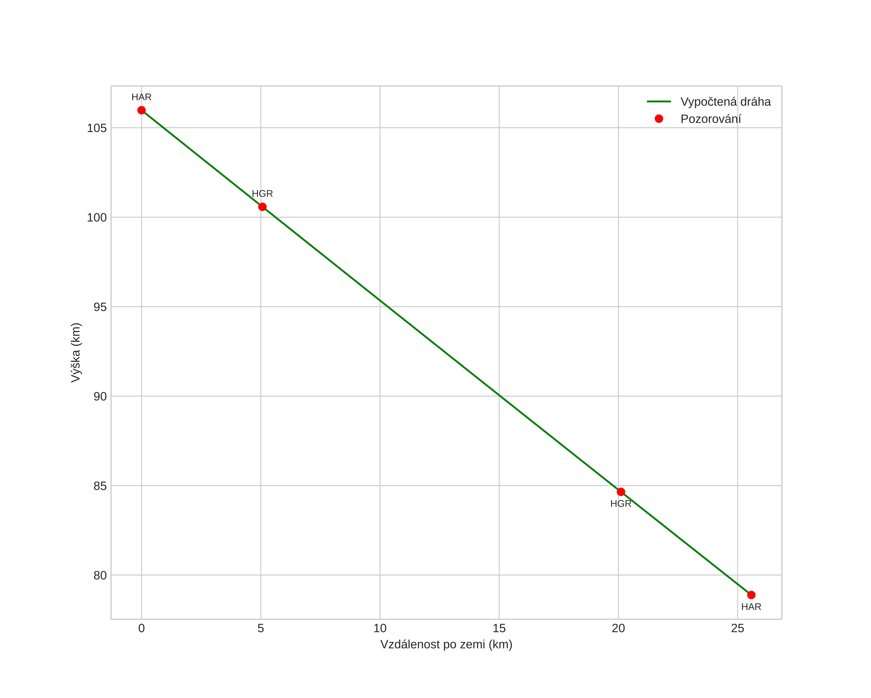
height profile
Atmosférická dráha meteoru:
Počáteční výška: 101,0 km
Konečná výška: 84,6 km
Počáteční poloha: 60,889N 13,696E
Konečná poloha: 61,023N 13,610E
Směr: 342,9°
Sklon: 46,3°
VstupnĂ­ rychlost: 45,3 km/s
Rektascenze radiantu: 04:49 (72,3°)
Deklinace radiantu: 17,3°
MeteorickĂ˝ roj: sporadickĂ˝
Elementy dráhy meteoroidu:
Vzdálenost v periheliu: 0,099 AU
Excentricita: 1,003
Sklon dráhy: 17,0°
Délka vzestupného uzlu: 49,7°
Argument perihelia: 142,9°
Střední anomálie: -0,2°
Epocha: 2024 NOV 11 23:41:07
orbit plot

NeinteraktivnĂ­ graf | InteraktivnĂ­ graf

position vs time
speed and acceleration