🇳🇴 🇬🇧 🇩🇪 🇨🇿 🇫🇮

Meteor, poloha: Langesund 2024-11-12 00:55:53 UTC

Soubor KML  |  InteraktivnĂ­ mapa

Mapa zobrazuje dráhy meteoru. Světlejší čáry ukazují směry od pozorovacích stanic při objevení se meteoru a tmavší čáry, kde byl naposledy viděn. Modrá šipka značí viditelnou dráhu meteoru.

static map
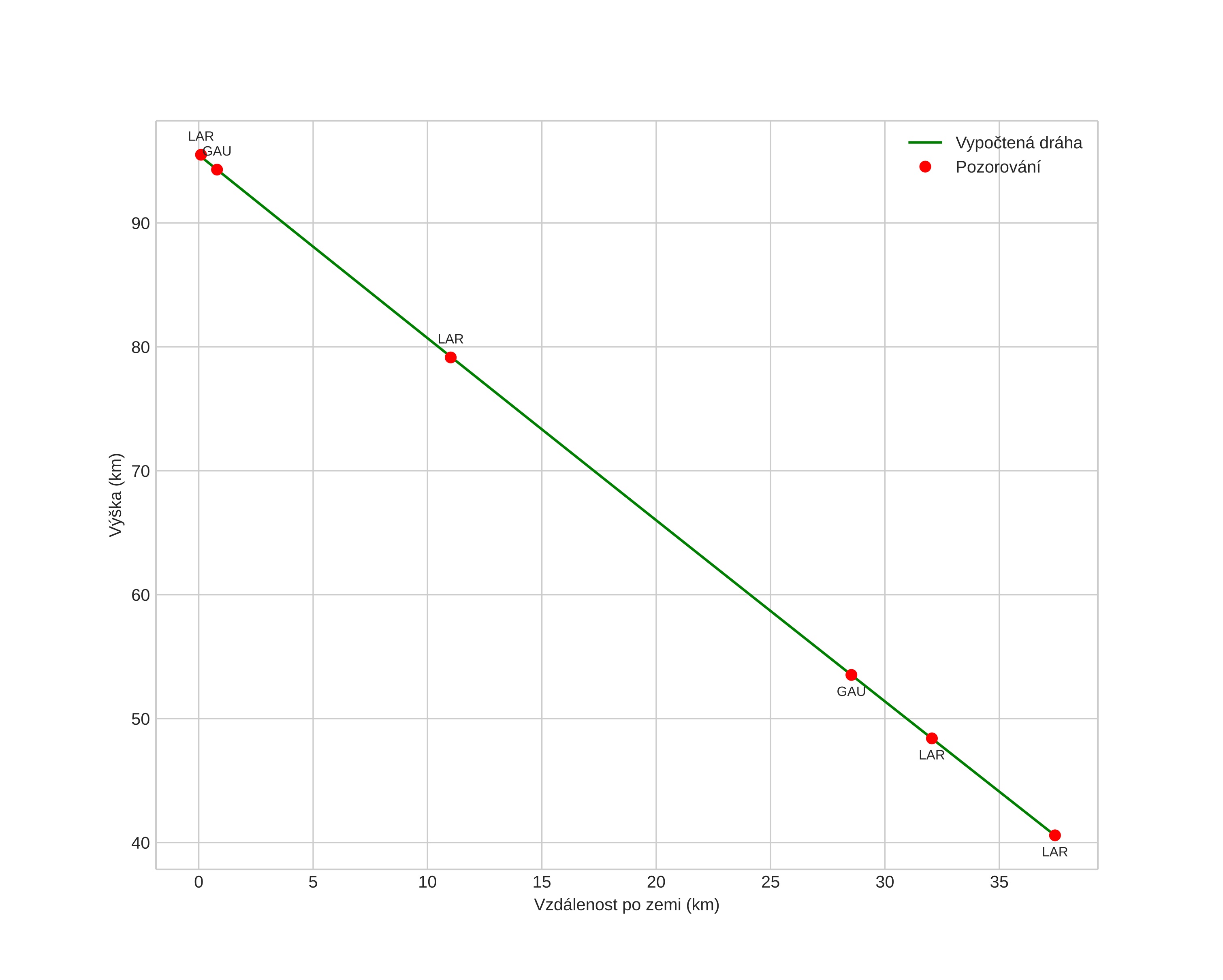
height profile
Atmosférická dráha meteoru:
Počáteční výška: 98,1 km
Konečná výška: 41,4 km
Počáteční poloha: 58,235N 9,488E
Konečná poloha: 58,553N 9,762E
Směr: 24,2°
Sklon: 55,6°
VstupnĂ­ rychlost: 30,4 km/s
Rektascenze radiantu: 03:55 (59,0°)
Deklinace radiantu: 24,1°
MeteorickĂ˝ roj: SevernĂ­ Tauridy
Elementy dráhy meteoroidu:
Vzdálenost v periheliu: 0,353 AU
Excentricita: 0,834
Sklon dráhy: 4,2°
Délka vzestupného uzlu: 229,8°
Argument perihelia: 294,5°
Střední anomálie: 346,5°
Epocha: 2024 NOV 12 00:55:53
orbit plot

NeinteraktivnĂ­ graf | InteraktivnĂ­ graf

position vs time
speed and acceleration