🇳🇴 🇬🇧 🇩🇪 🇨🇿 🇫🇮

Meteor, poloha: Prestestranda 2024-11-12 01:26:03 UTC

Soubor KML  |  InteraktivnĂ­ mapa

Mapa zobrazuje dráhy meteoru. Světlejší čáry ukazují směry od pozorovacích stanic při objevení se meteoru a tmavší čáry, kde byl naposledy viděn. Modrá šipka značí viditelnou dráhu meteoru.

static map
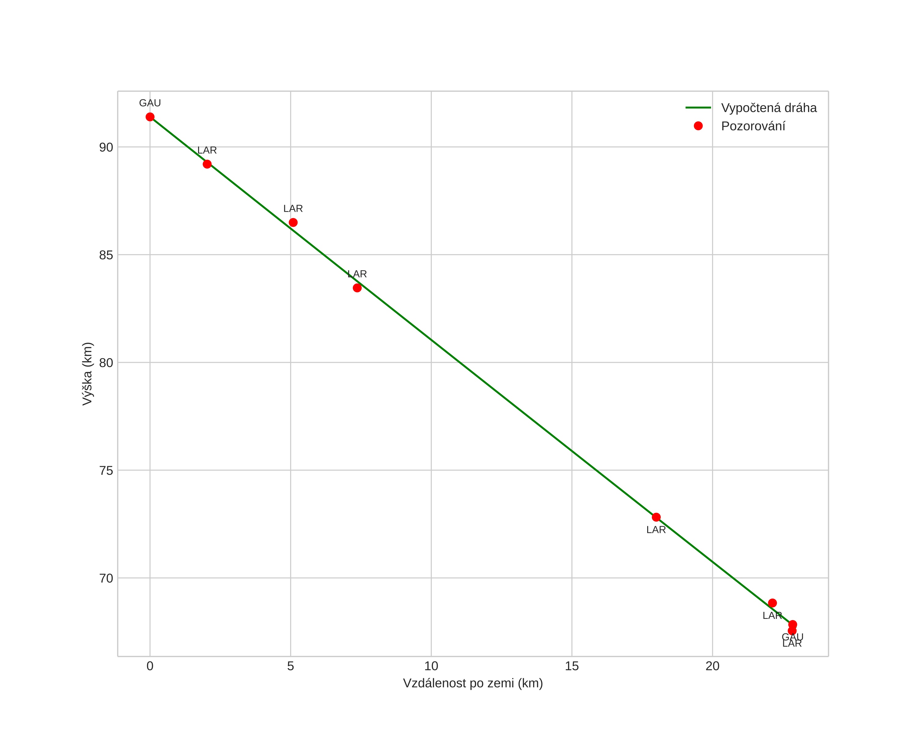
height profile
Atmosférická dráha meteoru:
Počáteční výška: 97,9 km
Konečná výška: 71,7 km
Počáteční poloha: 58,907N 8,974E
Konečná poloha: 59,118N 9,208E
Směr: 29,7°
Sklon: 44,1°
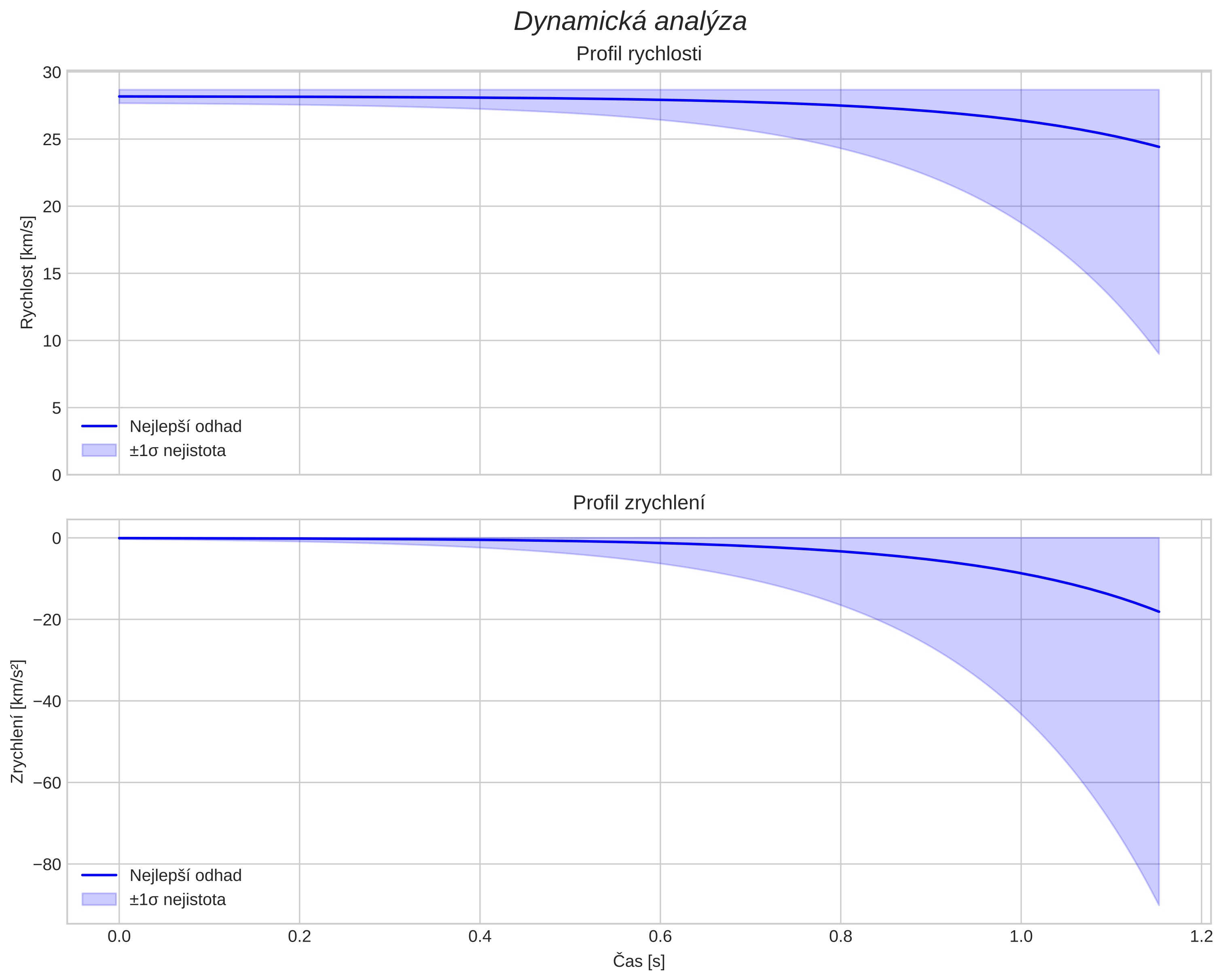
VstupnĂ­ rychlost: 27,7 km/s
Rektascenze radiantu: 03:56 (59,0°)
Deklinace radiantu: 13,6°
MeteorickĂ˝ roj: JiĹľnĂ­ Tauridy
Elementy dráhy meteoroidu:
Vzdálenost v periheliu: 0,417 AU
Excentricita: 0,775
Sklon dráhy: 6,5°
Délka vzestupného uzlu: 49,8°
Argument perihelia: 109,1°
Střední anomálie: 342,4°
Epocha: 2024 NOV 12 01:26:03
orbit plot

NeinteraktivnĂ­ graf | InteraktivnĂ­ graf

position vs time
speed and acceleration