🇳🇴 🇬🇧 🇩🇪 🇨🇿 🇫🇮

Meteor, poloha: Charlottenberg 2024-11-12 02:28:34 UTC

Soubor KML  |  InteraktivnĂ­ mapa

Mapa zobrazuje dráhy meteoru. Světlejší čáry ukazují směry od pozorovacích stanic při objevení se meteoru a tmavší čáry, kde byl naposledy viděn. Modrá šipka značí viditelnou dráhu meteoru.

static map
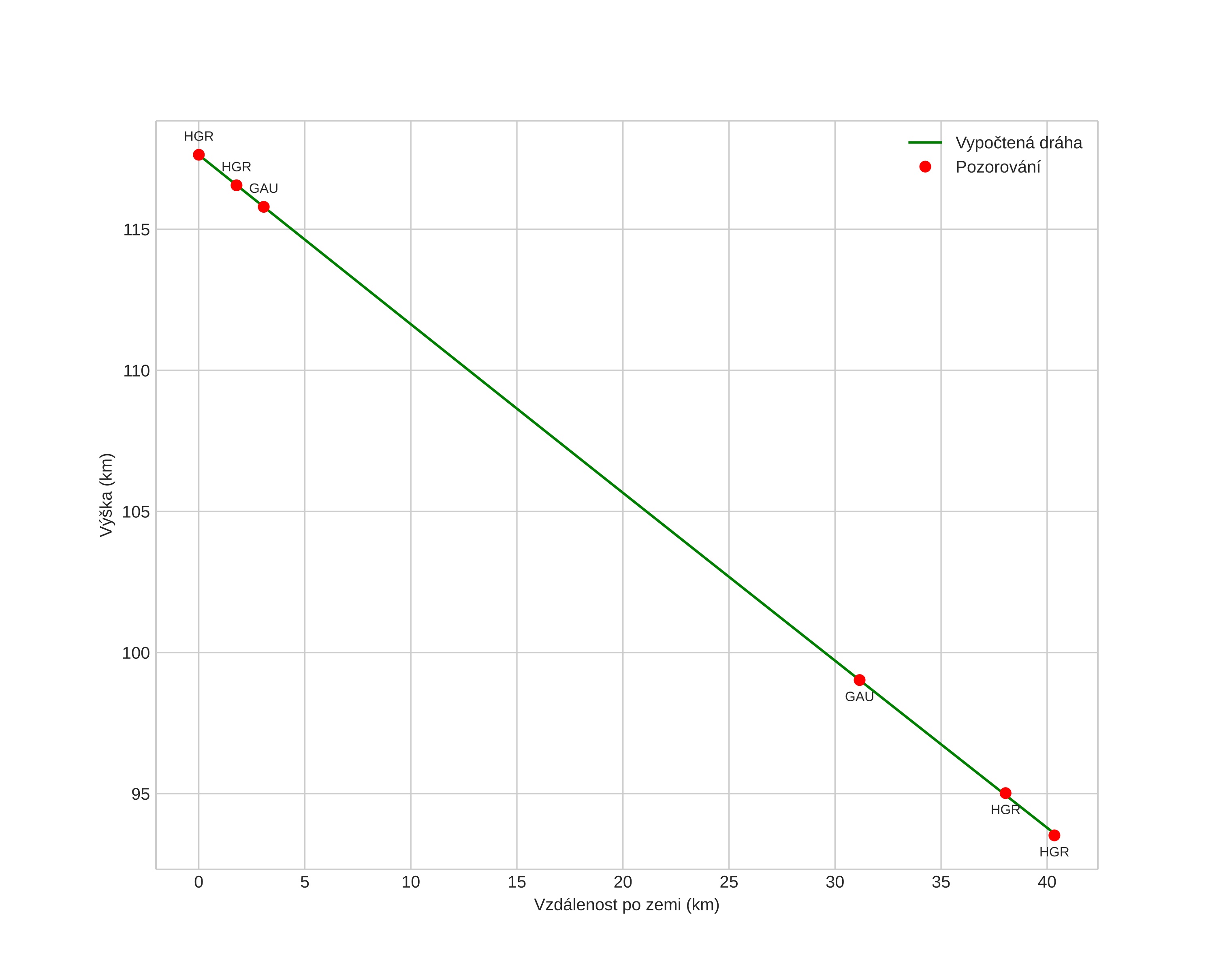
height profile
Atmosférická dráha meteoru:
Počáteční výška: 118,7 km
Konečná výška: 95,4 km
Počáteční poloha: 59,574N 12,527E
Konečná poloha: 59,912N 12,265E
Směr: 338,8°
Sklon: 30,0°
VstupnĂ­ rychlost: 73,0 km/s
Rektascenze radiantu: 07:56 (119,1°)
Deklinace radiantu: 0,9°
MeteorickĂ˝ roj: sporadickĂ˝
Elementy dráhy meteoroidu:
Vzdálenost v periheliu: 0,801 AU
Excentricita: 1,410
Sklon dráhy: 145,0°
Délka vzestupného uzlu: 49,9°
Argument perihelia: 47,6°
Střední anomálie: -9,3°
Epocha: 2024 NOV 12 02:28:34
orbit plot

NeinteraktivnĂ­ graf | InteraktivnĂ­ graf

position vs time
speed and acceleration