🇳🇴 🇬🇧 🇩🇪 🇨🇿 🇫🇮

Meteor, poloha: FosnavĂĄg 2024-11-12 22:57:52 UTC

Soubor KML  |  InteraktivnĂ­ mapa

Mapa zobrazuje dráhy meteoru. Světlejší čáry ukazují směry od pozorovacích stanic při objevení se meteoru a tmavší čáry, kde byl naposledy viděn. Modrá šipka značí viditelnou dráhu meteoru.

static map
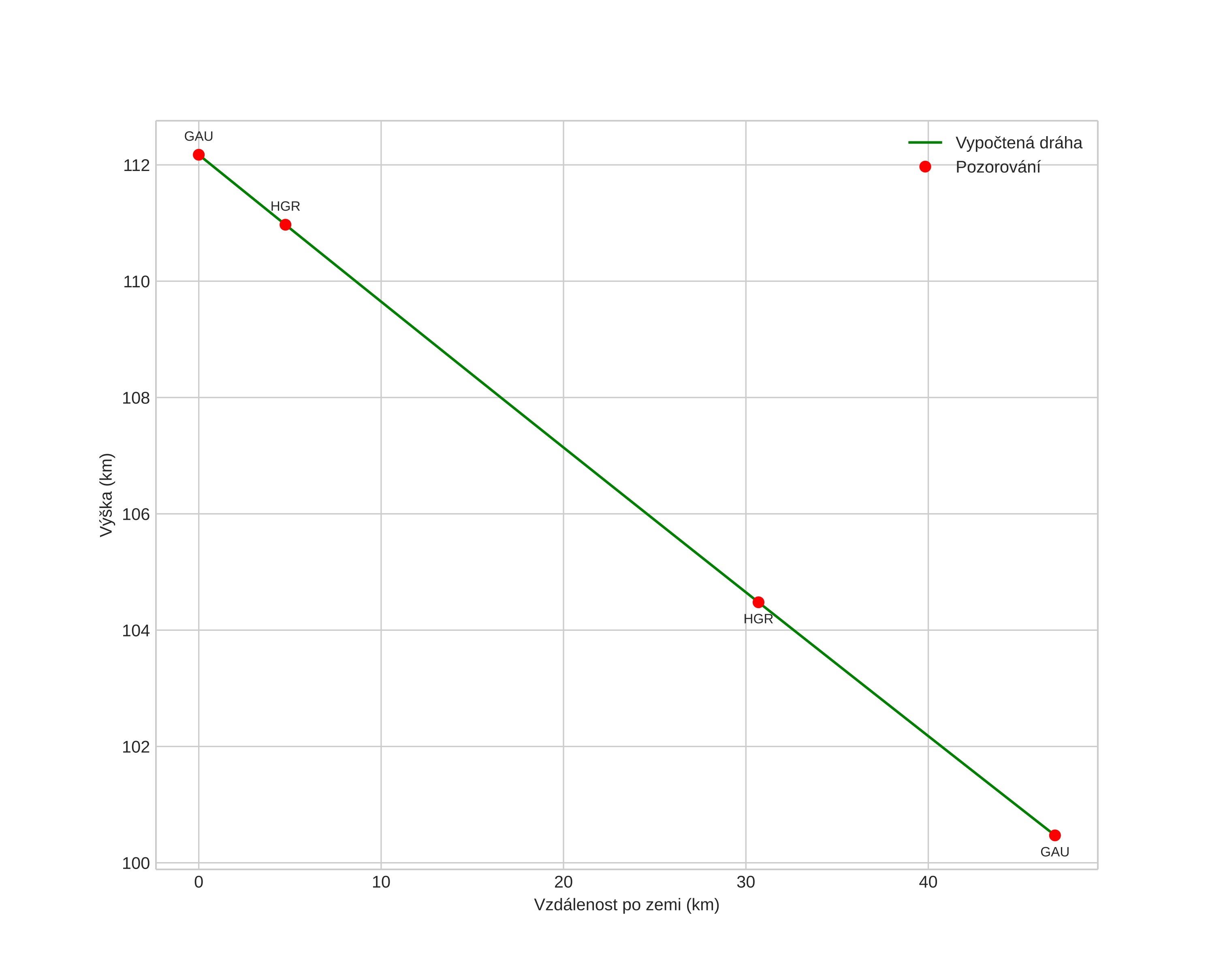
height profile
Atmosférická dráha meteoru:
Počáteční výška: 112,1 km
Konečná výška: 100,7 km
Počáteční poloha: 62,552N 6,556E
Konečná poloha: 62,368N 5,732E
Směr: 244,6°
Sklon: 13,6°
VstupnĂ­ rychlost: 72,0 km/s
Rektascenze radiantu: 09:59 (150,0°)
Deklinace radiantu: 23,3°
MeteorickĂ˝ roj: Leonidy
Elementy dráhy meteoroidu:
Vzdálenost v periheliu: 0,982 AU
Excentricita: 0,944
Sklon dráhy: 162,1°
Délka vzestupného uzlu: 230,7°
Argument perihelia: 170,0°
Střední anomálie: 0,1°
Epocha: 2024 NOV 12 22:57:52
orbit plot

NeinteraktivnĂ­ graf | InteraktivnĂ­ graf

position vs time
speed and acceleration